通过海量题库、编程比赛和实时排名,系统化提升您的编程能力。
"NOIP真题" 试卷中 NOIP第十七届全国青少年信息学奥林匹克联赛初赛试题[2011提高组] 中有题目如下:
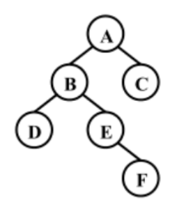
第1题
下图是一棵二叉树,它的先序遍历是( )。
ABDEFC
DBEFAC
DFEBCA
ABCDEF
所属试卷:NOIP第十七届全国青少年信息学奥林匹克联赛初赛试题[2011提高组]
下列描述中,错误的是( )。
在 Python 语言中,属于网络爬虫领域的第三方库是
以下对 Python 文件处理的描述中,错误的是( )
下列排序算法中,最坏情况下元素移动次数最少的是( )。
在学生表中要查找所有年龄大于30岁姓王的男同学,应该采
若有定义语句:在其后执行语句:z=0.9+x/y;则z
给定程序中,函数fun的功能是:将a所指4×3矩阵中第
若有定义:则执行表达式(a=b+c)ǁ(++b)后,a
按下列要求编程,实现类的定义,并在主函数中测试这个类。
已知x=[1,2,3,2,3],执行语句x.remov
表达式[1,2,3]*3的执行结果为_______。
已知x='a234b123c’,并且re模块已导入,则
请阅读下面的程序,选择正确的输出结果。( )
以下程序运行结果是____________。
在C语言源程序中,一个变量代表________。
在按字节编址的计算机M上,题43中f1的部分源程序(阴
对于Shell脚本程序,若输入参数数量多于9个,则程序
静态路由设定后,若网络拓扑结构发生变化,需由_____
线性表采用顺序存储,必须占用一片连续的存储单元。
局域网的协议结构一般不包括
已知带符号整数用补码表示,float型数据用IEEE
在程序中的第二个函数之后定义了某全局变量,则该程序的所
程序段:循环体语句执行_____次。
1MB 等于( )。
以下不是微软公司出品的软件是( )。
如图所示,图中每条边上的数字表示该边的长度,则从 A
是目前互联网上常用的E-mail服务协议。
输入: CCF-NOIP-2011输出: ______
输入: 2 3 5 7输出: _________
( 找第 k 大的数 ) 给定一个长度为 1,000,
更多选择题
更多填空题
第十章 C++流
第九章 C++模板
第八章 C++运算符重载
C++语言程序设计真题5
C++语言程序设计真题4
C++语言程序设计真题3
C++语言程序设计真题2