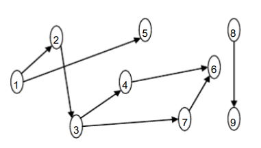
拓扑排序是指将有向无 环图 G中的所有顶点排成一个线性

拓扑排序是指将有向无 环图 G中的所有顶点排成一个线性序列,使得图中任意一对顶 点 u 和 v,若 ∈E(G),则 u 在线性序列中出现在 v 之前,这样的线性序列成为拓扑序 列。如下的有向无环图,对其顶点做拓扑排序,则所有可能的拓扑序列的个数为 ______。

Snipaste_2021-01-18_00-02-58.png

答案
第1空:432

题目信息

题号:6535
题型:填空题
难度:普通