通过海量题库、编程比赛和实时排名,系统化提升您的编程能力。
第1题
若栈S1中保存整数,栈S2中保存运算符,函数F( )依次执行下述各步操作:
(1)从S1中依次弹出两个操作数a和b;
(2)从S2中弹出一个运算符op;
(3)执行相应的运算b op a;
(4)将运算结果压人S1中。
假定S1中的操作数依次是5,8,3,2(2在栈顶),S2中的运算符依次是 * , - , +(+在栈顶)。调用3次F( )后,S1栈顶保存的值是( )。
-15
15
-20
20
第2题
现有队列Q与栈S,初始时Q中的元素依次是 1, 2, 3, 4, 5, 6(1在队头),S为空。若仅允许下列3种操作:①出队并输出出队元素;②出队并将出队元素入栈;③出栈并输出出栈元素,则不能得到的输出序列是( )。
1, 2, 5, 6, 4, 3
2, 3, 4, 5, 6, 1
3, 4, 5, 6, 1, 2
6, 5, 4, 3, 2, 1
第3题
设有一个12×12的对称矩阵M,将其上三角部分的元素mi, j(1≤i≤j≤12)按行优先存入C语言的一维数组N中,元素m6, 6在N中的下标是( )。
50
51
55
56
第4题
设一棵非空完全二叉树T的所有叶结点均位于同一层,且每个非叶结点都有2个子结点。若T有k个叶结点,则T的结点总数是( )。
2k-1
2k
k^2
2^k-1
第5题
已知字符集{a, b, c, d, e, f},若各字符出现的次数分别为6, 3, 8, 2, 10, 4,则对应字符集中各字符的哈夫曼编码可能是( )。
00, 1011, 01, 1010, 11, 100
00, 100, 110, 000, 0010, 01
10, 1011, 11, 0011, 00, 010
0011, 10, 11, 0010, 01, 000
第6题
已知二叉排序树如下图所示,元素之间应满足的大小关系是( )。
x1<x2<x5
x1<x4<x5
x3<x5<x4
x4<x3<x5
第7题
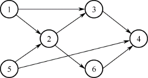
下列选项中,不是如下有向图的拓扑序列的是( )。
1, 5, 2, 3, 6, 4
5, 1, 2, 6, 3, 4
5, 1, 2, 3, 6, 4
5, 2, 1, 6, 3, 4
第8题
高度为5的3阶B树含有的关键字个数至少是( )。
31
62
242
第9题
现有长度为7、初始为空的散列表HT,散列函数 H(k) = k % 7,用线性探测再散列法解决冲突。将关键字 22, 43, 15依次插人到HT后,查找成功的平均查找长度是( )。
1.5
1.6
2
3
第10题
对初始数据序列(8, 3, 9, 11, 2, 1, 4, 7, 5, 10, 6)进行希尔排序。若第一趟排序结果为(1, 3, 7, 5, 2, 6, 4, 9, 11, 10, 8),第二趟排序结果为(1, 2, 6, 4, 3, 7, 5, 8, 11, 10, 9),则两趟排序采用的增量(间隔)依次是( )。
3, 1
3, 2
5, 2
5, 3
第11题
在将数据序列(6, 1, 5, 9, 8, 4, 7)建成大根堆时,正确的序列变化过程是( )。
6,1,7,9,8,4,5 → 6,9,7,1,8,4,5 → 9,6,7,1,8,4,5 → 9,8,7,1,6,4,5
6,9,5,1,8,4,7 → 6,9,7,1,8,4,5 → 9,6,7,1,8,4,5 → 9,8,7,1,6,4,5
6,9,5,1,8,4,7 → 9,6,5,1,8,4,7 → 9,6,7,1,8,4,5 → 9,8,7,1,6,4,5
6,1,7,9,8,4,5 → 7,1,6,9,8,4,5 → 7,9,6,1,8,4,5 → 9,7,6,1,8,4,5 → 9,8,6,1,7,4,5
第12题
冯•诺依曼结构计算机中数据采用二进制编码表示,其主要原因是( )。
Ⅰ. 二进制的运算规则简单
Ⅱ. 制造两个稳态的物理器件较容易
Ⅲ. 便于用逻辑门电路实现算术运算
仅Ⅰ、Ⅱ
仅Ⅰ、Ⅲ
仅Ⅱ、Ⅲ
Ⅰ、Ⅱ和Ⅲ
第13题
假定带符号整数采用补码表示,若int型变量x和y的机器数分别是FFFF FFDFH 和 0000 0041H,则x、y的值以及x - y的机器数分别是( )。
x = -65, y = 41, x-y 的机器数溢出
x = -33, y = 65, x-y 的机器数为 FFFF FF9DH
x = -33, y = 65, x-y 的机器数为 FFFF FF9EH
x = -65, y = 41, x-y 的机器数为 FFFF FF96H
第14题
IEEE754单精度浮点格式表示的数中,最小的规格化正数是( )。
1.0×2^-126
1.0×2^-127
1.0×2^-128
1.0×2^-149
第15题
某32位计算机按字节编址,采用小端(Little Endian)方式。若语令“int i = 0;”对应指令的机器代码为“C7 45 FC 00 00 00 00”,则语句“int i = -64;”对应指令的机器代码是( )。
C7 45 FC C0 FF FF FF
C7 45 FC 0C FF FF FF
C7 45 FC FF FF FF C0
C7 45 FC FF FF FF 0C
第16题
整数x的机器数为 1101 1000,分别对x进行逻辑右移1位和算术右移1位操作,得到的机器数各是( )。
1110 1100,1110 1100
0110 1100,1110 1100
1110 1100,0110 1100
0110 1100,0110 1100
第17题
假定DRAM芯片中存储阵列的行数为r、列数为c,对于一个2K×1位的DRAM芯片,为保证其地址引脚数最少,并尽量减少刷新开销,则 r、c 的取值分别是( )。
2048、1
64、32
32、64
1、2048
第18题
按字节编址的计算机中,某double型数组A的首地址为2000H,使用变址寻址和循环结构访问数组A,保存数组下标的变址寄存器初值为0,每次循环取一个数组元素,其偏移地址为变址值乘以sizeof(double),取完后变址寄存器内容自动加1。若某次循环所取元素的地址为2100H,则进入该次循环时变址寄存器的内容是( )。
25
32
64
100
第19题
减法指令“sub R1, R2, R3”的功能为“(R1)-(R2)→R3”,该指令执行后将生成进位/借位标志CF和溢出标志OF。若(R1)= FFFF FFFFH,(R2)= FFFF FFF0H,则该减法指令执行后,CF与OF分别为( )。
CF=0, OF=0
CF=1, OF=0
CF=0, OF=1
CF=1, OF=1
第20题
若某计算机最复杂指令的执行需要完成5个子功能,分别由功能部件A~E实现,各功能部件所需时间分别为80ps、50ps、50ps、70ps和50ps,采用流水线方式执行指令,流水段寄存器延时为20ps,则CPU时钟周期至少为( )。
60 ps
70 ps
80 ps
100 ps
第21题
下列选项中,可提高同步总线数据传输率的是( )。
Ⅰ. 增加总线宽度 Ⅱ. 提高总线工作频率
Ⅲ. 支持突发传输 Ⅳ. 采用地址/数据线复用
仅Ⅰ、Ⅱ、Ⅲ
仅Ⅲ、Ⅳ
Ⅰ、Ⅱ、Ⅲ和Ⅳ
第22题
下列关于外部 I/O 中断的叙述中,正确的是( )。
中断控制器按所接收中断请求的先后次序进行中断优先级排队
CPU响应中断时,通过执行中断隐指令完成通用寄存器的保护
CPU只有在处于中断允许状态时,才能响应外部设备的中断请求
有中断请求时,CPU立即暂停当前指令执行,转去执行中断服务程序
第23题
下列关于多任务操作系统的叙述中,正确的是( )。
Ⅰ. 具有并发和并行的特点
Ⅱ. 需要实现对共享资源的保护
Ⅲ. 需要运行在多CPU的硬件平台上
仅Ⅰ
仅Ⅱ
Ⅰ、Ⅱ、Ⅲ
第24题
某系统采用基于优先权的非抢占式进程调度策略,完成一次进程调度和进程切换的系统时间开销为1µs。在T时刻就绪队列中有3个进程P1、P2和P3,其在就绪队列中的等待时间、需要的CPU时间和优先权如下表所示。
等待时间
需要的CPU时间
优先权
P1
30µs
12µs
P2
15µs
24µs
P3
18µs
36µs
54µs B. C. D.
73µs
74µs
75µs
第25题
属于同一进程的两个线程thread1和thread2并发执行,共享初值为0的全局变量x。thread1和thread2实现对全局变量x加1的机器级代码描述如下。
thread1
thread2
mov R1, x //(x)→ R1
inc R1 //(R1)+1 → R1
mov x, R1 //(R1)→ x
mov R2, x //(x)→ R2
inc R2 //(R2)+1 → R2
mov x, R2 //(R2)→ x
在所有可能的指令执行序列中,使x的值为2的序列个数是( )。
1
4
第26题
假设系统中有4个同类资源,进程P1、P2和P3需要的资源数分别为4、3和1,P1、P2和P3已申请到的资源数分别为2、1和0,则执行安全性检测算法的结果是( )。
不存在安全序列,系统处于不安全状态
存在多个安全序列,系统处于安全状态
存在唯一安全序列P3、P1、P2,系统处于安全状态
存在唯一安全序列P3、P2、P1,系统处于安全状态
第27题
下列选项中,可能导致当前进程P阻塞的事件是( )。
Ⅰ. 进程P申请临界资源
Ⅱ. 进程P从磁盘读数据
Ⅲ. 系统将CPU分配给高优先权的进程
第28题
若x是管程内的条件变量,则当进程执行x.wait( )时所做的工作是( )。
实现对变量x的互斥访问
唤醒一个在x上阻塞的进程
根据x的值判断该进程是否进入阻塞状态
阻塞该进程,并将之插入x的阻塞队列中
第29题
当定时器产生时钟中断后,由时钟中断服务程序更新的部分内容是( )。
Ⅰ. 内核中时钟变量的值
Ⅱ. 当前进程占用CPU的时间
Ⅲ. 当前进程在时间片内的剩余执行时间
第30题
系统总是访问磁盘的某个磁道而不响应对其他磁道的访问请求,这种现象称为磁臂黏着。下列磁盘调度算法中,不会导致磁臂粘着的是( )。
先来先服务(FCFS)
最短寻道时间优先(SSTF)
扫描算法(SCAN)
循环扫描算法(CSCAN)
第31题
下列优化方法中,可以提高文件访问速度的是( )。
Ⅰ. 提前读 Ⅱ. 为文件分配连续的簇
Ⅲ. 延迟写 Ⅳ. 采用磁盘高速缓存
仅Ⅰ、Ⅲ、Ⅳ
Ⅰ、Ⅱ、Ⅲ、Ⅳ
第32题
在下列同步机制中,可以实现让权等待的是( )。
Peterson方法
swap指令
信号量方法
TestAndSet指令
第33题
下列TCP/IP应用层协议中,可以使用传输层无连接服务的是( )。
FTP
DNS
SMTP
HTTP
第34题
下列选项中,不属于物理层接口规范定义范畴的是( )。
接口形状
引脚功能
物理地址
信号电平
第35题
IEEE 802.11无线局域网的 MAC协议CSMA/CA进行信道预约的方法是( )。
发送确认帧
采用二进制指数退避
使用多个MAC地址
交换RTS与CTS帧
第36题
主机甲采用停-等协议向主机乙发送数据,数据传输速率是3kbps,单向传播延时是200ms,忽略确认帧的传输延时。当信道利用率等于40%时,数据帧的长度为( )。
240比特
400比特
480比特
800比特
第37题
路由器R通过以太网交换机S1和S2连接两个网络,R的接口、主机H1和H2的IP地址与MAC地址如下图所示。若H1向H2发送1个IP分组P,则H1发出的封装P的以太网帧的目的MAC地址、H2收到的封装P的以太网帧的源MAC地址分别是( )。
00-a1-b2-c3-d4-62,00-1a-2b-3c-4d-52
00-a1-b2-c3-d4-62,00-a1-b2-c3-d4-61
00-1a-2b-3c-4d-51,00-1a-2b-3c-4d-52
00-1a-2b-3c-4d-51,00-a1-b2-c3-d4-61
第38题
某路由表中有转发接口相同的4条路由表项,其目的网络地址分别为35.230.32.0/21,35.230.40.0/21,35.230.48.0/21和35.230.56.0/21,将该4条路由聚合后的目的网络地址为( )。
35.230.0.0/19
35.230.0.0/20
35.230.32.0/19
35.230.32.0/20
第39题
UDP协议实现分用(demultiplexing)时所依据的头部字段是( )。
源端口号
目的端口号
长度
校验和
第40题
无须转换即可由SMTP协议直接传输的内容是( )。
JPEG图像
MPEG视颊
EXE文件
ASCII文本
第41题
给定一个含n(n≥1)个整数的数组,请设计一个在时间上尽可能高效的算法,找出数组中未出现的最小正整数。例如,数组{-5, 3, 2, 3}中未出现的最小正整数是1;数组{1, 2, 3}中未出现的最小正整数是4。要求:
(1)给出算法的基本设计思想。
(2)根据设计思想,采用C或C++语言描述算法,关键之处给出注释。
(3)说明你所设计算法的时间复杂度和空间复杂度。
答:(1)题目要求算法时间上尽可能高效,因此采用空间换时间的办法。分配一个用于标记的数组B[n],用来记录A中是否出现了1~n中的正整数,B[0]对应正整数1,B[n-1]对应正整数 n,初始化B中全部为0。由于A中含有n个整数,因此可能返回的值是1~n+1,当A中n个数恰好为1~n 时返回n+1。当数组A中出现了小于等于0或者大于n的值时,会导致1~n中出现空余位置,返回结果必然在1~n中,因此对于A中出现了小于等于0或者大于n的值可以不采取任何操作。经过以上分析可以得出算法流程:从A[0]开始遍历A,若0<A[i]<=n,则令 B[A[i]-1]=1;否则不做操作。对A遍历结束后,开始遍历数组B,若能查找到第一个满足B[i]==0 的下标i,返回i+1即为结果,此时说明A中未出现的最小正整数在1~n之间。若B[i]全部不为0,返回i+1(跳出循环时 i=n,i+1等于n+1),此时说明A中未出现的最小正整数是n+1。
(2)
int findMissMin(int A[],int n) { int i,*B;//标记数组 B=(int *)malloc(sizeof(int)*n); //分配空间 memset(B,0,sizeof(int)*n);//赋初值为0 for(i=0; i<n; i++) if(A[i]>0&&A[i]<=n)//若A[i]的值介于1~n,则标记数组B B[A[i]-1]=1; for(i=0; i<n; i++) //扫描数组B,找到目标值 if (B[i]==0) break; return i+1;//返回结果 }
(3)时间复杂度:遍历A一次,遍历B一次,两次循环内操作步骤为O(1)量级,因此时间复杂度为O(n)。空间复杂度:额外分配了B[n],空间复杂度为O(n)。
第42题
拟建设一个光通信骨干网络连通BJ、CS、XA、QD、JN、NJ、TL和WH等8个城市,题42图中无向边上的权值表示两个城市间备选光纤的铺设费用。
请回答下列问题。
(1)仅从铺设费用角度出发,给出所有可能的最经济的光纤铺设方案(用带权图表示),并计算相应方案的总费用。
(2)题42图可采用图的哪一种存储结构?给出求解问题(1)所使用的算法名称。
(3)假设每个城市采用一个路由器按(1)中得到的最经济方案组网,主机H1直接连接在TL的路由器上,主机H2直接连接在BJ的路由器上。若H1向H2发送一个TTL=5的IP分组,则H2是否可以收到该IP分组?
答:
(1)为了求解最经济的方案,可以把问题抽象为求无向带权图的最小生成树。可以采用手动Prim算法或Kruskal算法作图。注意本题最小生成树有两种构造,如下图所示。
方案的总费用为16。
(2)存储题中的图可以采用邻接矩阵(或邻接表)。构造最小生成树采用Prim算法(或kruskal算法)。
(3)TTL=5,即IP分组的生存时间(最大传递距离)为5,方案1中TL和BJ的距离过远,TTL=5不足以让IP分组从H1传送到H2,因此H2不能收到IP分组。而方案2中TL和BJ邻近,H2可以收到IP分组。
第43题
假定计算机的主频为500MHz,CPI为4。现有设备A和B,其数据传输率分别为2MB/s和40MB/s,对应I/O接口中各有一个32位数据缓冲寄存器。请回答下列问题,要求给出计算过程。
(1)若设备A采用定时查询I/O方式,每次输入/输出都至少执行10条指令。设备A最多间隔多长时间查询一次才能不丢失数据?CPU用于设备A输入/输出的时间占CPU总时间的百分比至少是多少?
(2)在中断I/O方式下,若每次中断响应和中断处理的总时钟周期数至少为400,则设备B能否采用中断I/O方式?为什么?
(3)若设备B采用DMA方式,每次DMA传送的数据块大小1000B,CPU用于DMA预处理和后处理的总时钟周期数为500,则CPU用于设备B输入/输出的时间占CPU总时间的百分比最大是多少?
(1)程序定时向缓存端口查询数据,由于缓存端口大小有限,必须在传输完端口大小的数据时访问端口,以防止部分数据没有被及时读取而丢失。设备A准备32位数据所用时间为4B/2MB=2µs,所以最多每隔2µs必须查询一次,每秒的查询次数至少是1s/2µs=5×105,每秒CPU用于设备A输入/输出的时间至少为5×105×10×4 = 2×107个时钟周期,占整个CPU时间的百分比至少是2×107/500M = 4%。
(2)中断响应和中断处理的时间为400×(1/500M)=0.8µs,这时只需判断设备B准备32位数据要多久,如果准备数据的时间小于中断响应和中断处理的时间,那么数据就会被刷新、造成丢失。经过计算,设B准备32位数据所用时间为4B/40MB=0.1µs,因此,设备B不适合采用中断I/O方式。
(3)在DMA方式中,只有预处理和后处理需要CPU处理,数据的传送过程是由DMA控制。设备B每秒的DMA次数最多为40MB/1000B=40000,CPU用于设备B输入/输出的时间最多为40000×500 = 2×107个时钟周期,占CPU总时间的百分比最多为2×107/500M = 4%。
第44题
某计算机采用页式虚拟存储管理方式,按字节编址。CPU进行存储访问的过程如题44图所示。
根据题44图回答下列问题。
(1)主存物理地址占多少位?
(2)TLB采用什么映射方式?TLB用SRAM还是DRAM实现?
(3)Cache采用什么映射方式?若Cache采用LRU替换算法和回写(Write Back)策略,则Cache每行中除数据(Data)、Tag和有效位外,还应有哪些附加位?Cache总容量是多少?Cache中有效位的作用是什么?
(4)若CPU给出的虚拟地址为0008 C040H,则对应的物理地址是多少?是否在Cache中命中?说明理由。若CPU给出的虚拟地址为0007 C260H,则该地址所在主存块映射到的Cache组号是多少?
答:(1)物理地址由实页号和页内地址拼接,因此其位数为16+12 = 28;或直接可得20+3+5 = 28。
(2)TLB采用全相联映射,可以把页表内容调入任一块空TLB项中,TLB中每项都有一个比较器,没有映射规则,只要空闲就行。TLB采用静态存储器SRAM,读写速度快,但成本高,多用于容量较小的高速缓冲存储器。
(3)图中可以看到,Cache中每组有两行,故采用 2 路组相联映射方式。因为是2路组相联并采用LRU替换算法,所以每行(或每组)需要1位LRU位;因为采用回写策略,所以每行有1位修改位(脏位),根据脏位判断数据是否被更新,如果脏位为1则需要写回内存。28 位物理地址中Tag字段占20位,组索引字段占3位,块内偏移地址占5位,故Cache共有23 = 8组,每组2行,每行有25 = 32B;故Cache总容量为8×2×(20+1+1+1+32×8) = 4464位 = 558字节。
Cache中有效位用来指出所在Cache行中的信息是否有效。
(4)虚拟地址分为两部分:虚页号、页内地址;物理地址分为两部分:实页号、页内地址。利用虚拟地址的虚页号部分去查找TLB表(缺失时从页表调入),将实页号取出后和虚拟地址的页内地址拼接,就形成了物理地址。虚页号008CH恰好在TLB表中对应实页号 0040H(有效位为1,说明存在),虚拟地址的后3位为页内地址040H,则对应的物理地址是 0040040H。物理地址为0040040H,其中高20位00400H为标志字段,低5位00000B为块内偏移量,中间3位010B为组号2,因此将00400H与Cache中的第2组两行中的标志字段同时比较,可以看出,虽然有一个Cache行中的标志字段与00400H相等,但对应的有效位为0,而另一Cache行的标志字段与00400H不相等,故访问Cache不命中。
因为物理地址的低12位与虚拟地址低12位相同,即为0010 0110 0000B。根据物理地址的结构,物理地址的后八位01100000B的前三位011B是组号,因此虚拟地址0007 C260H所在的主存映射到Cache组号为3。
第45题
请根据题44图给出的虚拟储管理方式,回答下列问题。
(1)某虚拟地址对应的页目录号为6,在相应的页表中对应的页号为6,页内偏移量为8,该虚拟地址的十六进制表示是什么?
(2)寄存器PDBR用于保存当前进程的页目录起始地址,该地址是物理地址还是虚拟地址?进程切换时,PDBR的内容是否会变化?说明理由。同一进程的线程切换时,PDBR的内容是否会变化?说明理由。
(3)为了支持改进型CLOCK置换算法,需要在页表项中设置哪些字段?
(1)由图可知,地址总长度为32位,高20位为虚页号,低12位为页内地址。且虚页号高10位为页目录号,低10位为页号。展开成二进制则表示为:0000 0001 1000 0000 0110 0000 0000 1000 B
故十六进制表示为0180 6008H。
(2)PDBR为页目录基址地址寄存器(Page-Directory Base Register),其存储页目录表物理内存基地址。进程切换时,PDBR的内容会变化;同一进程的线程切换时,PDBR的内容不会变化。每个进程的地址空间、页目录和PDBR的内容存在一一对应的关系。进程切换时,地址空间发生了变化,对应的页目录及其起始地址也相应变化,因此需要用进程切换后当前进程的页目录起始地址刷新PDBR。同一进程中的线程共享该进程的地址空间,其线程发生切换时,地址空间不变,线程使用的页目录不变,因此PDBR的内容也不变。
(3)改进型 CLOCK 置换算法需要用到使用位和修改位,故需要设置访问字段(使用位)和修改字段(脏位)。
第46题
某文件系统采用索引节点存放文件的属性和地址信息,簇大小为4KB。每个文件索引节点占64B,有11个地址项,其中直接地址项8个,一级、二级和三级间接地址项各1个,每个地址项长度为4B。请回答下列问题。
(1)该文件系统能支持的最大文件长度是多少?(给出计算表达式即可)
(2)文件系统用1M(1M=220)个簇存放文件索引结点,用512M个簇存放文件数据。若一个图像文件的大小为5600B,则该文件系统最多能存放多少个这样的图像文件?
(3)若文件F1的大小为6KB,文件F2的大小为40KB,则该文件系统获取F1和F2最后一个簇的簇号需要的时间是否相同?为什么?
(1)簇大小为4KB,每个地址项长度为4B,故每簇有4KB/4B = 1024个地址项。最大文件的物理块数可达8+1×1024+1×10242+1×10243,每个物理块(簇)大小为4KB,故最大文件长度为(8+1×1024+1×10242+1×10243)×4KB = 32KB+4MB+4GB+4TB。
(2)文件索引节点总个数为1M×4KB/64B = 64M,5600B的文件占2个簇,512M个簇可存放的文件总个数为512M/2 = 256M。可表示的文件总个数受限于文件索引节点总个数,故能存储64M个大小为5600B的图像文件。
(3)文件F1大小为6KB<4KB×8 = 32KB,故获取文件F1的最后一个簇的簇号只需要访问索引节点的直接地址项。文件F2大小为40KB,4KB×8<40KB<4KB×8+4KB×1024,故获取F2的最后一个簇的簇号还需要读一级索引表。综上,需要的时间不相同。
第47题
某公司网络如题47图所示。IP地址空间192.168.1.0/24被均分给销告部和技术部两个子网,并已分别为部分主机和路由器接口分配了IP地址,销售部子网的MTU=1500B,技术部子网的MTU=800B。
(1)销售部子网的广播地址是什么?技术部子网的子网地址是什么?若每个主机仅分配一个IP地址,则技术部子网还可以连接多少台主机?
(2)假设主机192.168.1.1向主机192.168.1.208发送一个总长度为1500B的IP分组,IP分组的头部长度为20B,路由器在通过接口F1转发该IP分组时进行了分片。若分片时尽可能分为最大片,则一个最大IP分片封装数据的字节数是多少?至少需要分为几个分片?每个分片的片偏移量是多少?
(1)广播地址是网络地址中主机号全1的地址(主机号全0的地址,代表网络本身)。销售部和技术部均分配了192.168.1.0/24的IP地址空间,IP地址的前24位为子网的网络号。于是在后8位中划分部门的子网,选择前1位作为部门子网的网络号。令销售部子网的网络号为0,技术部子网的网络号为1,则技术部子网的完整地址为 192.168.1.128;令销售部子网的主机号全1,可以得到该部门的广播地址为192.168.1.127。每个主机仅分配一个IP地址,计算目前还可以分配的主机数,用技术部可以分配的主机数,减去已分配的主机数,技术部总共可以分配计算机主机数为27-2 = 126(减去全0和全1的主机号)。已经分配了208-129+1 = 80个,此外还有1个IP地址分配给了路由器的端口(192.168.1.254),因此还可以分配126-80-1=45台。
(2)判断分片的大小,需要考虑各个网段的MTU,而且注意分片的数据长度必须是8B的整数倍。由题可知,在技术部子网内,MTU = 800B,IP分组头部长20B,最大IP分片封装数据的字节数为⌊(800-20)/8⌋×8 = 776。至少需要的分片数为⌈(1500-20)/776⌉ = 2。第1个分片的偏移量0;第2个分片的偏移量为 776/8 = 97。
选择题(1 - 40题,共计80分) 填空题(41 - 47题,共计70分)