通过海量题库、编程比赛和实时排名,系统化提升您的编程能力。
第1题
在下列模式中,能够给出数据库物理存储结构与物理存取方法的是 ( )。
外模式
内模式
概念模式
逻辑模式
第2题
在满足实体完整性约束的条件下( )。
一个关系中应该有一个或多个候选关键字
一个关系中只能有一个候选关键字
一个关系中必须有多个候选关键字
一个关系中可以没有候选关键字
第3题
下面描述中,不属于软件危机表现的是
软件过程不规范
软件开发生产率低
软件质量难以控制
软件成本不断提高
第4题
下面不属于需求分析阶段任务的是( )。
确定软件系统的功能需求
确定软件系统的性能需求
需求规格说明书评审
制定软件集成测试计划
第5题
结构化程序的三种基本控制结构是( )。
顺序、选择和重复(循环)
过程、子程序和分程序
顺序、选择和调用
调用、返回和转移
第6题
构成计算机软件的是( )。
源代码
程序和数据
程序和文档
程序、数据及相关文档
第7题
在黑盒测试方法中,设计测试用例的主要根据是( )。
程序内部逻辑
程序外部功能
程序数据结构
程序流程图
第8题
在数据库中,数据模型包括数据结构、数据操作和( )。
查询
数据类型
关系运算
数据约束
第9题
有三个关系R、S和T如下:
则由关系R和S得到关系T的操作是( )。
自然连接
交
投影
并
第10题
在关系模型中,每一个二维表称为一个( )。
关系
属性
元组
主码(键)
第11题
以下叙述中正确的是( )。
我们所写的每条C语句,经过编译最终都将转换成二进制的机器指 令
程序必须包含所有三种基本结构才能成为一种算法
如果算法非常复杂,则需要使用三种基本结构之外的语句结构, 才能准确表达
只有简单算法才能在有限的操作步骤之后结束
第12题
以下叙述正确的是( )。
计算机只接收由0和1代码组成的二进制指令或数据
计算机只接收由0和1代码组成的十进制指令或数据
计算机可直接接收并运行C源程序
计算机可直接接收并运行任意高级语言编写的源程序
第13题
以下叙述中错误的是( )。
C程序在运行过程中所有计算都以十进制方式进行
C程序在运行过程中所有计算都以二进制方式进行
所有C程序都需要编译链接无误后才能运行
C程序中字符变量存放的是字符的ASCⅡ值
第14题
若有定义语句:
int a=3,b=2,c=1;
以下选项中错误的赋值表达式是( )。
a=(b=4)+c;
a=b=c+1;
a=(b=4)=3;
a=1+(b=c=4);
第15题
有以下程序
#include <stdio.h> main() { int x,y,z; x=y=1; z=x++,y++,++y; printf("%d,%d,%d\n",x,y,z); }
程序运行后的输出结果是( )。
2,3,2
2,3,3
2,3,1
2,2,1
第16题
若想给已定义为int型的变量a、b、c、d赋整数1,以下选项中错误的语句是()。
a=b,b=c,c=d,d=1;
d=c=b=a=1;
a=1,b=a,c=b,d=c;
d=1,c=d,b=c,a=b;
第17题
以下能正确输出字符a的语句是( )。
printf("%s", "a");
printf("%s", 'a');
printf("%c", "a");
printf("%d", 'a');
第18题
有以下程序段
int m=33,n=66; m=m^n; n=n^m; m=m^n;
执行上述语句后,m和n的值分别是( )。
m=66,n=33
m=33,n=66
m=66,n=66
m=33,n=33
第19题
有以下程序段,若变量已正确定义并赋值
if(a>b)printf("x=%d,",x); else printf("y=%d,",y); if(a<=b)i++; else j++;
则与此程序段功能相同的选项是( )。
if(a>b) { printf("x=%d,",x); j++ } else { printf("y=%d,",y); i++ }
if(a>b) { printf("x=%d,",x); i++ } else { printf("y=%d,",y); j++ }
if(a<=b) { printf("x=%d,",x); i++ } else { printf("y=%d,",y); j++ }
if(a>=b) { printf("x=%d,",x); i++ } else { printf("y=%d,",y); j++ }
第20题
#include <stdio.h> main() { int x=1, y=0; if (!x) y++; else if (x==0) if (x) y+=2; else y+=3; printf("%d\n", y); }
0
2
1
3
第21题
#include <stdio.h> main() { char b,c; int i; b='a'; c='A'; for(i=0;i<6;i++) { if (i%2) putchar(i+b); else putchar(i+c); } printf("\n"); }
ABCDEF
AbCdEf
aBcDeF
abcdef
第22题
#include <stdio.h> main() { int y=9; for(;y>0;y--) if(y%3==0) printf("%d",--y); }
程序的运行结果是( )。
875421
963
741
852
第23题
程序的算法只能使用流程图来描述
结构化程序的三种基本结构是循环结构、选择结构、顺序结构
N-S流程图只能描述简单的顺序结构的程序
计算机可以直接处理C语言程序,不必进行任何转换
第24题
语句 int a[][3] = {1,2,4,5}; 是错误的初始化形式
语句 int a[4][3] = {1,2,4,5}; 是错误的初始化形式
在逻辑上,可以把二维数组看成是一个具有行和列的表格或矩阵
语句 int a[4][3] = {{1,2},{4,5}}; 是错误的初始化形式
第25题
在以下给出的表达式中,与while(E)中的(E)不等价的表达式是 ( )。
(E==0)
(E>0ǁE<0)
(!E==0)
(E!=0)
第26题
以下数组定义中错误的是( )。
int x[2][3]={1,2,3,4,5,6};
int x[][3]={0};
int x[][3]={{1,2,3},{4,5,6}};
int x[2][3]={{1,2},{3,4},{5,6}};
第27题
下列定义数组的语句中,对的的是
int N=10; int x[N];
#define N 10 int x[N];
int x[0..10];
int x[];
第28题
函数调用时,不必区分函数名称的大小写
调用函数时,函数名必须与被调用的函数名完全一致
函数名允许用数字开头
在函数体中只能出现一次return语句
第29题
#include <stdio.h> main() { int i,j = 0; char a[] = "How are you", b[10] = {0}; for (i=0; a[i]; i++) if (a[i] == ' ') b[j++] = a[i+1]; printf("%s\n",b); }
ay
Howareyou
we
Hay
第30题
以下关于字符串的叙述中正确的是()。
C语言中有字符串类型的常量和变量
两个字符串中的字符个数相同时才能进行字符串大小的比较
可以用关系运算符对字符串的大小进行比较
空串比空格打头的字符串小
第31题
#include <stdio.h> void fun(int *s) { static int j=0; do s[j] += s[j+1]; while(++j<2); } main() { int i,a[10]={1,2,3,4,5}; for(i=1; i<3; i++) fun(a); for(i=1; i<5; i++) printf("%d",a[i]); printf("\n"); }
5745
34756
5795
35745
第32题
#include <stdio.h> main() { int a[10]={11,12,13,14,15,16,17,18,19,20},*p=a,i=9; printf("%d,%d,%d\n",a[p-a],p[i],*(&a[i])); }
11,20,20
12,20,20
11,19,19
12,19,20
第33题
#include <stdio.h> #include <stdlib.h> void fun(double *p1,double *p2,double *s) { s = (double *)calloc( 1,sizeof(double) ); *s = *p1 + *( p2+1 ); } main() { double a[2] = { 1.1, 2.2 }, b[2] = { 10.0, 20.0 }, *s=a; fun(a, b, s); printf("%5.2f\n", *s); }
程序的输出结果是( )。
11.10
1.10
12.10
21.10
第34题
设fp为指向某二进制文件的指针,且已读到此文件末尾,则函数feof(fp)的返回值为( )。
非0值
'\0'
NULL
第35题
如果企图通过一个空指针来访问一个存储单元,将会得到一个出 错信息
即使不进行强制类型转换,在进行指针赋值运算时,指针变量的 基类型也可以不同
设变量p是一个指针变量,则语句p=0;是非法的,应该使用 p=NULL;
指针变量之间不能用关系运算符进行比较
第36题
若要使用C数学库中的sin函数,需要在源程序的头部加上 #include关于引用数学库,以下叙述正确的是( )。
将数学库中sin函数的源程序插入到引用处,以便进行编译链接
将数学库中sin函数链接到编译生成的可执行文件中,以便能正确 运行
通过引用math.h文件,说明sin函数的参数个数和类型,以及函数返 回值类型
实际上,不引用math.h文件也能正确调用sin函数
第37题
在C语言中,预处理命令行都以“#”开头
预处理命令行必须位于C源程序的起始位置
#include必须放在C程序的开头
C语言的预处理不能实现宏定义和条件编译的功能
第38题
下面结构体的定义语句中,错误的是( )。
struct ord {int x; int y; int z; } struct ord a;
struct ord {int x; int y; int z; }; struct ord a;
struct ord {int x; int y; int z; } a;
第39题
#include <stdio.h> typedef struct {int b, p;} A; void f(A c) { int j; c.b+=1; c.p+=2; } void main() { int i; A a={1,2}; f(a); printf("%d,%d\n", a.b, a.p); }
2,4
1,2
1,4
2,3
第40题
#include <stdio.h> main() { char x=2,y=2,z; z=(y<<1)&(x>>1); printf("%d\n",z); }
4
8
第41题
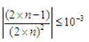
给定程序中,函数fun的功能是计算下式:
直到
并把计算结果作为函数值返回。 例如:若形参e的值为1e-3,函数的返回值为0.141457。 请在程序的下划线处填入正确的内容并把下划线删除.使程序得 出正确的结果。注意:源程序存放在考生文件夹下的BLANK1.C中。 不得增行或删行,也不得更改程序的结构!
/**********code.c**********/ #include <stdio.h. double fun(double e) { int i,k; double s,t, x; s=0; k=1; i=2; x=①______/4; while(x ②______ e) { s=s+k*x; k=k* (-1); t=2*i; x=③______/(t*t); i++; } return s; } main() { double e=1e-3; printf("\nThe result is: %f\n",fun(e)); } /**********-code.c**********/
第42题
下列给定的程序中,函数fun()的功能是:求出以下分数序列的前n 项和。2/1,3/2,5/3,8/5,13/8,21/13,……和值通过函数值返回 main()函数。例如,若输入n=5,则应输出8.391667。 注意:部分源程序给出如下。 请改正程序中的错误,使它能计算出正确的结果。 注意:不要改动main函数,不得增行或删行,也不得更改程序的 结构!
/**********code.c**********/ #include <stdio.h> /**********found**********/ void fun(int n) { int a, b, c, k; double s; s = 0.0; a = 2; b = 1; for(k = 1; k <= n; k++) { /**********found**********/ s = s + (Double)a / b; c = a; a = a + b; b = c; } return s; } void main() { int n = 5; printf("\nThe value of function is: %lf\n", fun(n)); } /**********-code.c**********/
错误:void fun(int n) 正确:double fun(int n)
错误:s = s + (Double)a / b; 正确:s=s+(double)a/b;
第43题
请编写一个函数fun,它的功能是:求出一个2×M整型二维数组中 最大元素的值,并将此值返回调用函数。注意部分源程序存在文件 PROG1.C文件中。 请勿改动主函数main和其它函数中的任何内容,仅在函数fun的花 括号中埴入你编写的若干语句。
/**********code.c**********/ #include <stdio.h> #define M 4 int fun (int a[][M]) { } void main() { int arr[2][M]={5,8,3,45,76,-4,12,82}; printf("max =%d\n", fun(arr)); }
参考答案:
int fun (int a[][M]) { int i,j,max=a[0][0]; for(i=0;i<2;i++) for(j=0;j<M;j++) if(max<a[i][j]) max=a[i][j]; return max; }
一、选择题(1 - 40题,共计40分) 二、填空题(41 - 43题,共计60分)