Dotcpp  >  编程题库  >  二叉树
题目 1731:

二叉树

时间限制: 2s 内存限制: 96MB 提交: 828 解决: 372

题目描述

 


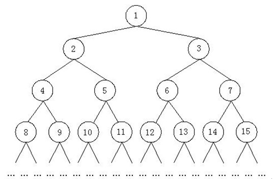
    如上所示,由正整数123……组成了一颗特殊二叉树。我们已知这个二叉树的最后一个结点是n。现在的问题是,结点m所在的子树中一共包括多少个结点。

    比如,n = 12m = 3那么上图中的结点131415以及后面的结点都是不存在的,结点m所在子树中包括的结点有36712,因此结点m的所在子树中共有4个结点。

输入格式

输入数据包括多行,每行给出一组测试数据,包括两个整数mn (1 <= m <= n <= 1000000000)。最后一组测试数据中包括两个0,表示输入的结束,这组数据不用处理。

输出格式

 对于每一组测试数据,输出一行,该行包含一个整数,给出结点m所在子树中包括的结点的数目。

样例输入

3 7
142 6574
2 754
0 0

样例输出

3
63
498

提示

零基础同学可以先学习视频课程,包含C/C++、Python、百练、蓝桥杯辅导、算法数据结构等课程,提供视频讲解以及配套习题,还有老师答疑,点击这里了解课程详情
标签

通过率

统 计

推荐题目