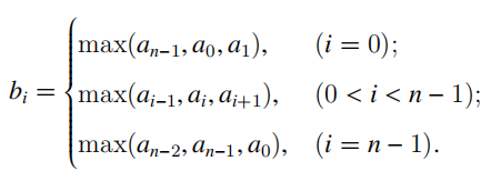
小蓝有一个长度为 n 的数组 B = (b0, b1, · · · , bn−1),数组 B 是由另一个长度为 n 的环形数组 A = (a0, a1, · · · , an−1) 经过一次相邻最大化操作得到的,其中 ai与 ai+1 相邻,a0 与 an−1 相邻。
形式化描述为:

小蓝想知道,可能有多少个满足条件的数组A,经过一次相邻最大化操作后能得到数组 B,注意 A 中的每个元素都要求为非负整数。
输入的第一行包含一个整数 n ,表示数组长度。
第二行包含 n 个整数 b0, b1, · · · , bn−1,相邻两个整数之间用一个空格分隔。
输出一行包含一个整数表示答案,答案可能很大,请输出答案除以 1000000007 后的余数。
5 8 6 1 8 8
7
对于 30% 的评测用例,3 ≤ n ≤ 10;
对于 60% 的评测用例,3 ≤ n ≤ 100;
对于所有评测用例,3 ≤ n ≤ 1000 ,0 ≤ bi ≤ 10。