优质题解 Manchester-【亲和数】 摘要:解题思路:1.设输入的数为a,b;2.求出a的真约数的和suma;3.判断suma是否等于b,若不等于直接输出NO,结束;4.若suma等于b,求出b的真约数的和sumb;5.判断sumb是否等于a,…… 题解列表 2017年12月25日 46 点赞 28 评论 4590 浏览 评分:8.4
优质题解 Manchester-【偶数求和】 摘要:解题思路:1.给数列2 4 6 8 10 12...限定一个长度n;2.每m个数求出平均值且输出;3.但是求到后面,剩余的数列长度不足m的以实际长度求和输出平均值;转化为代码思路:1.定义一个n1=0…… 题解列表 2017年12月25日 46 点赞 4 评论 4041 浏览 评分:8.7
优质题解 Manchester- C语言训练-计算一个整数N的阶乘(多方法回合) 摘要:解题思路:思路1.根据公式n!=1*2*3*...n;#include <stdio.h> int main() { int n,jc=1; scanf("%d",&n); for(…… 题解列表 2017年12月23日 19 点赞 8 评论 4627 浏览 评分:9.2
优质题解 Manchester- C语言训练-计算t=1+1/2+1/3+...+1/n 摘要:解题思路:令i从1到N;把所有 1/i 的商加起来;输出和,保留六位小数;注意事项:把变量范围定义得大一些,避免出错;参考代码:#include <stdio.h> int main() { …… 题解列表 2017年12月23日 16 点赞 12 评论 5694 浏览 评分:7.5
优质题解 Manchester-C语言训练-计算1~N之间所有奇数之和 摘要:解题思路:循环判断1到N的每一个数;若除以2是结果为整数,也就是能被2整除,那么是偶数;若除以2结果不是整数,则不能被2整除,那么是奇数;是奇数的话,把它加到和里;注意事项:这样做应该,long do…… 题解列表 2017年12月22日 12 点赞 8 评论 5239 浏览 评分:7.6
优质题解 Manchester- C语言程序设计教程(第三版)课后习题11.8(链表创建,插入,连接) 摘要:解题思路:1.先设计个结点,包括学号,成绩,后继指针;2.输入a,b,程序中为n,m;3.分别创建长度为n的链表,和长度为m的链表;4.把两个链表连为一个,用选择排序法排序;5.输出,边输出,边释放结…… 题解列表 2017年12月22日 53 点赞 34 评论 17044 浏览 评分:9.7
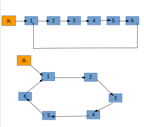
优质题解 Manchester-C语言程序设计教程(第三版)课后习题10.5(循环链表,最易理解实现,附带图解) 摘要:解题思路:1:创建长度为n的循环链表(单链表的最后一个结点与首结点连接,不是头结点);2:链表结点包括编号和next指针;3:从首结点p开始报数(p=p->next),但是只报数到离开的结点的前一个结…… 题解列表 2017年12月22日 95 点赞 23 评论 9463 浏览 评分:9.1
优质题解 Manchester- C语言训练-计算1977! 摘要:解题思路:大数据阶乘,我们用数组存储结果,这题用长度为5660的数组 jc[5660] 刚好够存1977的阶乘;1:定义变量weishu代表阶乘的结果所占的位数;2:把整个数组(jc[])全赋值为0,…… 题解列表 2017年12月21日 43 点赞 12 评论 5782 浏览 评分:9.3
优质题解 Manchester- C语言训练-角谷猜想 摘要:解题思路:输入一个数N;N为偶数,输出N/2=,然后N/=2,判读N是否等于1,等于跳出循环;N为奇数,输出N*3+1=,然后N=N*3+1,判读N是否等于1,等于跳出循环;注意事项:输入N=1时,循…… 题解列表 2017年12月21日 15 点赞 8 评论 3593 浏览 评分:9.1
优质题解 Manchester-C语言程序设计教程(第三版)课后习题11.5 摘要:解题思路:在1050题的基础上;添加一个平均分成员变量ave;在主函数中,所有成绩的平均分输出;输出,个人平均分最高的学生信息;下面代码只是给思路,不是纯正c++,c和c++的混合体,为了方便,就那样…… 题解列表 2017年12月20日 21 点赞 25 评论 9714 浏览 评分:8.0