优质题解 python-表格计算 摘要:解题思路:递归调用。①首先对表格中所有值转化为浮点型,当转化不成功是,我们知道这处表格是一个字符串。然后调用字符串处理函数②调用字符串处理函数的过程和①类似,先将数字转化成浮点型,然后进行计算,转化不…… 题解列表 2022年01月24日 0 点赞 0 评论 648 浏览 评分:9.9
优质题解 蓝桥杯算法训练VIP-幂方分解(java代码) 摘要:解题思路: 将需要转化的数转化成二进制数即可,题中的137可以转化为10001001,根据进制转化的规则,很容易得到137 = 2^7+2^3+2^0,7,3,0分别为10001001从…… 题解列表 2022年01月23日 0 点赞 0 评论 736 浏览 评分:9.9
优质题解 蓝桥杯算法提高VIP-素数求和(java代码 埃氏筛法找素数) 摘要:解题思路: 找素数问题,直接无脑上埃氏筛法就行了。埃氏筛法详情如下,也可自行百度或直接看代码注释,注释较为详细。 要得到自然数n以内的全部素数,必须把不大于的所有素数的倍数…… 题解列表 2022年01月22日 0 点赞 0 评论 766 浏览 评分:9.9
优质题解 蓝桥杯算法提高VIP-邮票面值设计(JAVA+思路) 摘要: ####难点 - 与常规的深搜题目不一样,这道题没有给出明确的搜索边界 - 需要对原始问题做一个变化,将其与完全背包问题结合起来求解 ####代码(含详细解析) ``` import…… 题解列表 2022年01月22日 0 点赞 3 评论 748 浏览 评分:9.8
优质题解 蓝桥杯历届试题-九宫重排C++ BFS+SET查重(目前本网站最简) 摘要:解题思路:我不喜欢啰嗦的代码,我用二维数组来做会让代码变得啰嗦,所以我用一维数组,那么上下左右走的方向数组可以换为一维数组的{-3, -1, 1, 3}结构体内的代码我只需要当前的状态state以及我…… 题解列表 2022年01月22日 0 点赞 1 评论 1617 浏览 评分:4.4
优质题解 蓝桥杯算法提高VIP-特殊的质数肋骨(java代码) 摘要:解题思路: 假设有一个n位的特殊质数,他可以看作为在n-1位的特殊质数基础上再在末尾加一位数,加上后判断其是否为质数即可,因为前面的已经是特殊质数了,只需要考虑加上最后一位数是否为质数,…… 题解列表 2022年01月21日 0 点赞 1 评论 860 浏览 评分:9.9
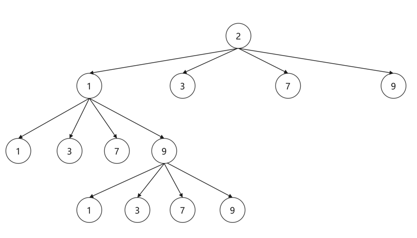
优质题解 python-特殊的质数肋骨 摘要:解题思路:常规思路遍历的话一定会超时的。因此要找寻一些规律。首位数字2,3,5,7其余位数1,3,7,9我们可以将其画成一棵树。因此我们可以采用深度遍历的方法注意事项:参考代码:from math i…… 题解列表 2022年01月21日 0 点赞 0 评论 900 浏览 评分:8.0
优质题解 求和训练 C语言(代码一般,但易懂) 摘要:####解题思路: ``` 求1~a之和:A0 = 0; A1 = A0 + 1 A2 = A1 + 2 A3 = A2 + 3 ...... 1…… 题解列表 2022年01月20日 1 点赞 61 评论 12705 浏览 评分:9.3
优质题解 最长公共子序列的巧妙转换 摘要:解题思路: 从题目描述看来,两个字符串直接需要通过增、删、改三个操作来变成相同的字符串。那么我们可以发现,只有当两个字符串长度不同时,才需要进行增删操作(第一个字符串比第二个字符串短时进…… 题解列表 2022年01月19日 0 点赞 11 评论 2111 浏览 评分:8.8
优质题解 数据结构-基数排序(java代码) 摘要:解题思路: 正整数从小到大的基数排序就是从个位数开始,将待排序数组中的值按照个位数从小到大的顺序进行排序,然后再进行十位数的排序,以此类推,直到数组中的最大值的最高位排序完毕即可。 …… 题解列表 2022年01月19日 0 点赞 0 评论 716 浏览 评分:0.0