1025-新手向代码 摘要:解题思路:考虑列表的排序注意事项:如何换行输出参考代码:a = list(map(int, input().split()))b = int(input())a.append(b)a.sort()pr…… 题解列表 2023年07月24日 2 点赞 0 评论 687 浏览 评分:10.0
编写题解 2760: 整型与布尔型的转换 摘要:解题思路:注意事项:参考代码:#include<stdio.h>#include<stdbool.h>int main(){ int a; scanf("%d",&a); bool …… 题解列表 2023年07月25日 1 点赞 0 评论 940 浏览 评分:10.0
判断第几天c++简单代码 摘要:解题思路:注意事项:参考代码:#include<bits/stdc++.h>//万能头文件using namespace std;int main(){ int y,m,d,a[12]={31,…… 题解列表 2023年08月05日 0 点赞 0 评论 457 浏览 评分:10.0
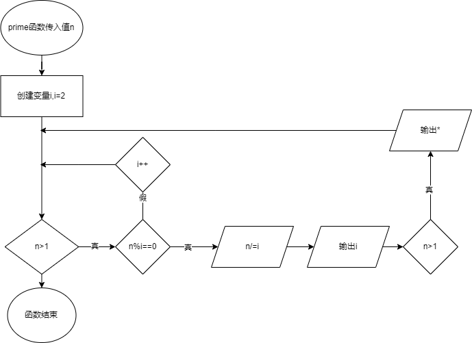
类似删除法求质数(C语言代码) 摘要: 本来是想讲一下思路,但是发现解释的无比乱,干脆直接上图,代码如下:void prime(int); int main() { int a, b; scanf("%d%d", …… 题解列表 2023年08月29日 1 点赞 0 评论 390 浏览 评分:10.0
C++ 归并排序 摘要: #include #include using namespace std; int main() { int a; cin >> a;//输入整数个数 …… 题解列表 2023年09月13日 0 点赞 0 评论 615 浏览 评分:10.0
甲流病人初筛(c++) 摘要:解题思路:注意事项:参考代码:#include <iostream>#include <vector>using namespace std;struct Patient { string na…… 题解列表 2023年09月23日 2 点赞 0 评论 575 浏览 评分:10.0
优质题解 Cylinder圆柱体:简单的数学逻辑题 摘要:解题思路:本题中要求最大的圆柱体积,则需要分两种情况考虑,最后比较得出最大的体积作为最后的结果,这里就是考虑没有用来切割圆柱底面的那一半纸张的哪一边用来卷圆面周长的两种情况,每一种只考虑正好卷完没有重…… 题解列表 2023年09月27日 0 点赞 0 评论 687 浏览 评分:10.0
三位数反转(两种思路) 摘要:参考代码: 第一种,这种思路最后位可能会出现0,比如210,执行后会变成012 ```c #include int main() { int a; while(~scanf("%…… 题解列表 2023年10月01日 0 点赞 0 评论 1053 浏览 评分:10.0
排序+遍历 摘要:先对数列进行排序,定义a[1]-a[0]为公差,遍历数列,如果有相邻两个数的差不等于公差输出no 否则输出yes ```cpp #include "iostream" using names…… 题解列表 2023年10月09日 0 点赞 0 评论 421 浏览 评分:10.0
超级玛丽游戏 摘要:解题思路:同理注意事项:参考代码:#include <stdio.h>int main(){ printf( " ********\n" " …… 题解列表 2023年10月09日 1 点赞 0 评论 1087 浏览 评分:10.0