Dotcpp  >  编程题库  >  二级C语言-分段函数
题目 1067:

二级C语言-分段函数

时间限制: 2s 内存限制: 192MB 提交: 22958 解决: 12852

题目描述

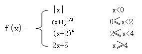
输入x ,计算并输出下列分段函数 f(x) 的值。可以调用数学库函数:平方根函数sqrt(),绝对值函数fabs() 和幂函数 pow()。

二级C语言-分段函数

 保留2位小数

输入格式

x

输出格式

f(x)

样例输入

5

样例输出

15.00

提示

零基础同学可以先学习视频课程,包含C/C++、Python、百练、蓝桥杯辅导、算法数据结构等课程,提供视频讲解以及配套习题,还有老师答疑,点击这里了解课程详情
标签