输入n, m, k,输出下面公式的值。 
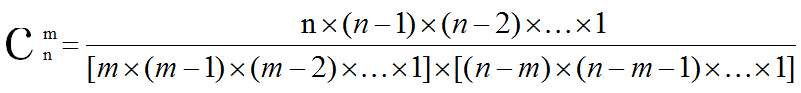
其中C_n^m是组合数,表示在n个人的集合中选出m个人组成一个集合的方案数。组合数的计算公式如下:

输入的第一行包含一个整数n;第二行包含一个整数m,第三行包含一个整数k。
数据规模和约定
对于100%的数据,n在十进制下不超过1000位,即1≤n< 10^1000,1≤k≤1000,同时0≤m≤n,k≤n。
提示
999101是一个质数;
当n位数比较多时,绝大多数情况下答案都是0,但评测的时候会选取一些答案不是0的数据;
计算上面公式的值,由于答案非常大,请输出这个值除以999101的余数。
3 1 3
162