Dotcpp  >  编程题库  >  蓝桥杯2019年第十届省赛真题-完全二叉树的权值
题目 2299:

蓝桥杯2019年第十届省赛真题-完全二叉树的权值

时间限制: 2s 内存限制: 192MB 提交: 9174 解决: 2549

题目描述


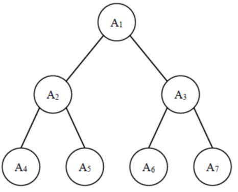
给定一棵包含 N 个节点的完全二叉树,树上每个节点都有一个权值,按从 上到下、从左到右的顺序依次是 A1, A2, · · · AN,如下图所示:


蓝桥杯2019年第十届省赛真题-完全二叉树的权值



现在小明要把相同深度的节点的权值加在一起,他想知道哪个深度的节点 权值之和最大?如果有多个深度的权值和同为最大,请你输出其中最小的深度。

注:根的深度是 1。

输入格式


第一行包含一个整数 N。 第二行包含N个整数A1,A2,··· AN。

对于所有评测用例,1≤ N ≤100000,−100000≤ Ai ≤100000。


输出格式

输出一个整数代表答案。

样例输入

7
1 6 5 4 3 2 1

样例输出

2

提示

零基础同学可以先学习视频课程,包含C/C++、Python、百练、蓝桥杯辅导、算法数据结构等课程,提供视频讲解以及配套习题,还有老师答疑,点击这里了解课程详情
标签