小蓝最近在研究区间统计问题。
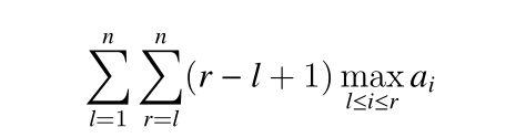
给定一个长度为 n 的序列 a1, a2,. . . , an,如果按照最初的问题,需要计算的是

也就是说,对于序列中的每一个区间 [l, r],取出这个区间的长度 (r − l +1) 与区间最大值 maxl≤i≤r ai,将二者相乘,并对所有区间的结果求和。
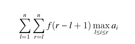
不过,小蓝觉得直接使用区间长度有些单调,于是他对这个问题作了一点修改。
他定义函数 f(x) 表示整数 x 在十进制表示下的位数。例如:
f(998244353) = 9 ,
f(799) = 3 。
现在,对于每一个区间 [l, r],小蓝不再使用区间长度本身,而是使用区间长度的位数 f(r − l +1)。因此,他希望你计算下面这个式子的值:

由于答案可能非常大,你只需要输出结果对 998244353 取模后的值。
输入共两行。
第一行包含一个正整数 n,表示序列的长度。
第二行包含 n 个正整数 a1, a2,. . . , an,表示给定的序列。
输出一行,包含一个整数,表示 ∑nl=1 ∑nr=l f(r−l+1) maxl≤i≤r ai 对 998244353取模后的结果。
5 1 2 3 4 5
55
【样例输入 2】
10
12 3 4 5 6 7 8 9 10
【样例输出 2】
395
【评测用例规模与约定】
对于 30% 的评测用例,n ≤ 500;
对于 60% 的评测用例,n ≤ 3000;
对于所有的评测用例,1 ≤ n ≤ 500000,1 ≤ ai ≤ 109。