深空探测器在执行任务时需要依靠星座导航系统进行精确定位。该系统由若干颗导航卫星组成,每颗卫星都有固定的轨道位置和信号强度。
为了确保导航精度,需要选择一组卫星构成 “导航星座”,使得:
1. 两颗卫星距离过近会产生干扰,降低导航精度;
2. 星座必须保持连通性(通信半径为 R,任意两颗卫星都能通过直接或间接通信到达);
3. 在综合考虑以上因素后,使总导航精度最大化。
导航精度计算规则
设选定的导航星座包含卫星集合 S = {s1, s2,. . . , sk},每颗卫星 si 位于坐标(xi, yi),信号强度为 pi。
基础精度:每颗卫星贡献的基础精度为其信号强度 pi。
几何加成:考虑星座的几何分布,计算所有卫星对之间的几何加成:

连通性约束:
• 如果两颗卫星距离 dij ≤ R,则它们可以直接通信。
• 整个星座必须保持连通(任意两颗卫星都能通过直接或间接通信到达)。
干扰惩罚:如果两颗卫星距离过近(dij < T),会产生信号干扰,精度减少:

其中 1dij<T 是指示函数,当条件满足时为 1,否则为 0;对每一对不同的卫星(i < j)各计算一次干扰惩罚。
总导航精度计算公式:

给定 N 颗候选卫星的坐标和信号强度,以及通信半径 R 和干扰阈值 T,从中选择若干颗卫星组成导航星座,使得:
1. 星座保持连通性(通信半径为 R);
2. 总导航精度最大化;
3. 星座中至少包含 K 颗卫星。
第一行包含四个整数 N、K、R、T,分别表示候选卫星数量、最少卫星数量、通信半径和干扰阈值。
接下来 N 行,每行包含三个整数 xi、yi、pi,表示第 i 颗卫星的坐标和信号强度。
输出一行,包含一个整数,表示能够达到的最大导航精度(向下取整)。
3 2 10 3 0 0 5 5 0 8 0 5 6
39
【样例说明 1】
最优解:选择卫星 {1, 2, 3}(编号从 1 开始),即坐标为 (0, 0)、(5, 0)、
(0, 5) 的三颗卫星。
连通性验证:

所有卫星对都能直接通信,星座连通。
精度计算:
1. 基础精度:5+ 8 + 6 = 19 。
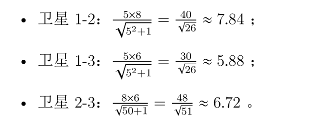
2. 几何加成:

总几何加成:7.84 + 5.88 + 6.72 = 20.44 。
3. 干扰惩罚:所有距离都 ≥ 5 > T =3,无干扰惩罚。
总精度:19 + 20.44 ? 0= 39.44,向下取整为 39。
【样例输入 2】
5 3 5 3
0 0 1 0
2 0 8
4 0 6
10 0 12
1 4 9
【样例输出 2】
139
【样例说明 2】
最优解:选择卫星 {1, 2, 3, 5}(编号从 1 开始),即坐标为 (0, 0)、(2, 0)、(4, 0)、(1, 4) 的四颗卫星。
连通性验证:

所有选中卫星对都能直接通信,星座连通。
精度计算:
1. 基础精度:10 + 8 + 6 + 9 = 33
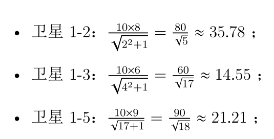
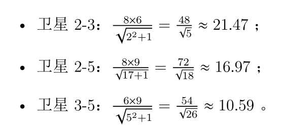
2. 几何加成:


总几何加成:35.78 + 14.55 + 21.21 + 21.47 + 16.97 + 10.59 = 120.57 。
3. 干扰惩罚:
• 卫星 1-2 距离 2< T=3,产生干扰:(3 ? 2) × min(10, 8) = 1 × 8= 8 ;
• 卫星 2-3 距离 2< T=3,产生干扰:(3 ? 2) × min(8, 6) = 1 × 6= 6 ;
• 其他卫星对距离都 ≥ 3,无干扰。
总干扰惩罚:8+ 6 = 14
总精度:33 + 120.57 ? 14 = 139.57,向下取整为 139。
【评测用例规模与约定】
对于 30% 的数据:N ≤ 8,K ≤ 3;
对于 60% 的数据:N ≤ 12,K ≤ 5;
对于所有评测用例:
• N ≤ 15,K ≤ 8,R ≤ 20,T ≤ 10 ;
• 坐标范围:0 ≤ xi, yi ≤ 100 ;
• 信号强度:1 ≤ pi ≤ 20 ;
• 保证存在至少 K 颗卫星、且满足连通性约束的解。