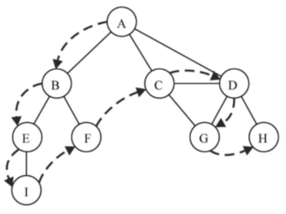
深度优先搜索,简称深搜或DFS。不同于广搜,如图所示,它从初始节点出发,按预定的顺序扩展到下一个节点,然后从下一节点出发继续扩展新的节点,不断递归执行这个过程,直到某个节点不能再扩展下一个节点为止。此时,则返回上一个节点重新寻找一个新的扩展节点。如此搜索下去,直到找到目标节点,或者搜索完所有节点为止。
| 序号 | 标题 |
|---|---|
| 1 | DFS(深度优先搜索)算法讲解(附模板及习题) |
| 2 | 图的遍历DFS深搜优先搜索及C语言代码实现 |
| 3 | 结合实例解析深度优先搜索(DFS)搜索 |
| 4 | 图文解析图论DFS(深度优先搜索) |
| 5 | DFS求有向图(无向图)两点间路径 |
| 题号 | 标题 | 解决/提交 | ||
|---|---|---|---|---|
| 1347 | 八皇后 | 中等题 | 769/1833 | |
| 1352 | Matrix67的派对 | 中等题 | 166/413 | |
| 1702 | 数据结构-图的遍历-DFS深度优先搜索(深搜) | 中等题 | 2658/4170 | |
| 2352 | 信息学奥赛一本通T1440-数的划分 | 中等题 | 703/1645 | |
| 2353 | 信息学奥赛一本通T1441-生日蛋糕 | 中等题 | 112/312 | |
| 2354 | 信息学奥赛一本通T1442-小木棍 | 中等题 | 188/382 | |
| 2355 | 信息学奥赛一本通T1444-埃及分数 | 中等题 | 34/117 | |
| 2356 | 信息学奥赛一本通T1445-平板涂色 | 中等题 | 31/54 | |
| 2357 | 信息学奥赛一本通T1446-素数方阵 | 中等题 | 7/30 | |
| 2358 | 信息学奥赛一本通T1447-靶形数独 | 中等题 | 19/70 | |
| 3034 | 自然数的拆分 | 入门题 | 485/981 | |
| 3035 | LETTERS | 入门题 | 576/1197 | |
| 3036 | 红与黑 | 入门题 | 194/980 | |
| 3037 | 棋盘问题 | 入门题 | 249/472 | |
| 3280 | 信息学奥赛一本通T1678-Addition Chains | 中等题 | 17/134 |