Dotcpp  >  编程题库  >  蓝桥杯2018年第九届真题-付账问题
题目 2278:

蓝桥杯2018年第九届真题-付账问题

时间限制: 2s 内存限制: 192MB 提交: 1974 解决: 424

题目描述

几个人一起出去吃饭是常有的事。但在结帐的时候,常常会出现一些争执。

现在有 n 个人出去吃饭,他们总共消费了 S 元。其中第 i 个人带了 ai 元。幸运的是,所有人带的钱的总数是足够付账的,但现在问题来了:每个人分别要出多少钱呢?

为了公平起见,我们希望在总付钱量恰好为 S 的前提下,最后每个人付的钱的标准差最小。这里我们约定,每个人支付的钱数可以是任意非负实数,即可以不是1分钱的整数倍。你需要输出最小的标准差是多少。

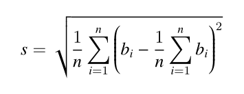
标准差的介绍:标准差是多个数与它们平均数差值的平方平均数,一般用于刻画这些数之间的“偏差有多大”。形式化地说,设第 i 个人付的钱为 bi 元,那么标准差为 

蓝桥杯2018年第九届真题-付账问题

输入格式

从标准输入读入数据。

第一行包含两个整数 n、S;

第二行包含 n 个非负整数 a1, ..., an。

1≤n≤5×105

0≤ai,S≤109

输出格式

输出到标准输出。

输出最小的标准差,四舍五入保留 4 位小数。
保证正确答案在加上或减去 10^−9 后不会导致四舍五入的结果发生变化。

样例输入

5 2333
666 666 666 666 666

样例输出

0.0000

提示

零基础同学可以先学习视频课程,包含C/C++、Python、百练、蓝桥杯辅导、算法数据结构等课程,提供视频讲解以及配套习题,还有老师答疑,点击这里了解课程详情
标签