训练
通过海量题库、编程比赛和实时排名,系统化提升您的编程能力。
Dotcpp
编程
编程教程
▾
编程训练
▾
编程考试
▾
团队教学
▾
AI 编程
▾
登录/注册
编程教程
▾
编程训练
▾
编程考试
▾
团队教学
▾
AI 编程
▾
Dotcpp
>
编程题库
>
信息学奥赛一本通T1575-二叉苹果树
题目 2480:
信息学奥赛一本通T1575-二叉苹果树
时间限制: 2s
内存限制: 192MB
提交: 55 解决: 33
题目描述
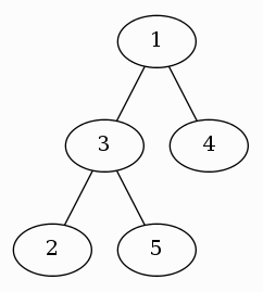
有一棵二叉苹果树,如果数字有分叉,一定是分两叉,即没有只有一个儿子的节点。这棵树共 N 个节点,标号 1 至 N,树根编号一定为 1。
我们用一根树枝两端连接的节点编号描述一根树枝的位置。一棵有四根树枝的苹果树,因为树枝太多了,需要剪枝。但是一些树枝上长有苹果,给定需要保留的树枝数量,求最多能留住多少苹果。
输入格式
第一行两个数 N 和 Q ,N 表示树的节点数,Q 表示要保留的树枝数量。
接下来 N−1 行描述树枝信息,每行三个整数,前两个是它连接的节点的编号,第三个数是这根树枝上苹果数量。
输出格式
输出仅一行,表示最多能留住的苹果的数量。
样例输入
复制
5 2 1 3 1 1 4 10 2 3 20 3 5 20
样例输出
复制
21
提示
数据范围与提示:
对于 100% 的数据,1≤Q≤N≤100,N≠1,每根树枝上苹果不超过 30000 个。
标签
显示知识点标签
信息学一本通
动态规划
C
C++
Java
Python
PHP
代码重置
开启O2优化
分享
收藏
提交
在线测试
上一题
下一题
通过率
统 计
解题报告
我要看题解
我来写题解
推荐题目
信息学奥赛一本通T1494-Sightseeing Trip
信息学奥赛一本通T1495-孤岛营救问题
信息学奥赛一本通T1496-架设电话线
信息学奥赛一本通T1497-农场派对
信息学奥赛一本通T1498-Roadblocks