Dotcpp  >  编程题库  >  信息学奥赛一本通T1338-医院设置
题目 3087:

信息学奥赛一本通T1338-医院设置

时间限制: 2s 内存限制: 192MB 提交: 68 解决: 27

题目描述

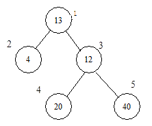
设有一棵二叉树(如下图),其中圈中的数字表示结点中居民的人口,圈边上数字表示结点编号。现在要求在某个结点上建立一个医院,使所有居民所走的路程之和为最小,同时约定,相邻结点之间的距离为1。就本图而言,若医院建在1处,则距离和=4+12+2×20+2×40=136;若医院建在3处,则距离和=4×2+13+20+40=81……

医院设置

输入格式

第一行一个整数nn,表示树的结点数(n≤100)。接下来的nn行每行描述了一个结点的状况,包含三个整数,整数之间用空格(一个或多个)分隔,其中:第一个数为居民人口数;第二个数为左链接,为0表示无链接;第三个数为右链接,为0表示无链接。

输出格式

一个整数,表示最小距离和。

样例输入

5
13 2 3
4 0 0
12 4 5
20 0 0
40 0 0

样例输出

81

提示

零基础同学可以先学习视频课程,包含C/C++、Python、百练、蓝桥杯辅导、算法数据结构等课程,提供视频讲解以及配套习题,还有老师答疑,点击这里了解课程详情
标签