1. 简介
依旧是下面的这三句话:
先序遍历:根左右
中序遍历:左根右
后序遍历:左右根
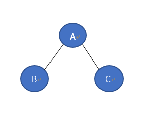
后序遍历就是在访问二叉树的结点的时候采用,先左,再右,再根的方式,对于一个最简单的访问而言如图,先访问左节点B,之后访问右结点C,最后访问根节点A,后序遍历的访问顺序就是BCA

然而实际上的遍历访问并没有那么简单,往往是多个结点相互嵌套构成的二叉树,
如图所示,在访问遍历一开始的时候,先访问左节点B再访问右结点C最后访问A,但由于B结点其中也包含了新的结点,就犹如之前介绍的那样,在面对处理的结点后还存在有与之相联的结点的时候,需要优先处理其的子结点,这也是“递归”的基本思路,因此,由于B属于DG的根结点,我们相较于B,应该先访问D结点,而又由于D结点属于EF的根结点,我们就又变成先访问E结点,E属于最末端了,根据后序遍历左右根的访问顺序,依次生成EFDGB作为一个整体,接着我们需要访问C,由于C又是^HC之中的根结点,我们先访问这个空结点,又因为其是一个空的结点,我们会跳过,就变成了HC的访问顺序,那么最后在汇总的时候EFDGB作为左节点,HC作为右结点,A作为根结点,完成我们最终的遍历顺序EFDGBHCA。

2.代码实现
续上文的代码,巧妙利用递归,与前文的代码只有一个顺序的区别:
//树的后序遍历 Post-order traversal
void postorder(Node* node){
if (node != NULL)
{
inorder(node->left);
inorder(node->right);
printf("%d ",node->data);
}
}3. 后缀表达式(逆波兰式)
逆波兰式与波兰式不同,波兰式采用先序遍历的方式遍历访问我们的公式顺序,常规式则就是我们熟悉的中序方式,而逆波兰式采用后续遍历的方式进行访问。
如图,为常规表达式:(a+b)*c
其二叉树的表现形式为:
而逆波兰式的表达方式就是ab+c* ,相较于波兰式,逆波兰式则就是将符号进行后移,其在计算机中的读取运算概念也符合栈的思路,因此没有什么特殊的不同,在考研/软考/算法竞赛中,比较常见的一类提醒就是波兰式,常规表达式,逆波兰式之间的互相转化和基本数学运算。
4. 相关问题
l 二叉树的遍历习题:1734题

请回答这一颗树的后序遍历是多少?

请回答这一颗树的后序遍历是多少?
l 请回答((a+b)+(c+d))*e作为转换成后缀表达式如何,如何表示。
| 1734 | 二叉树遍历 |
C语言网提供由在职研发工程师或ACM蓝桥杯竞赛优秀选手录制的视频教程,并配有习题和答疑,点击了解:
一点编程也不会写的:零基础C语言学练课程
解决困扰你多年的C语言疑难杂症特性的C语言进阶课程
从零到写出一个爬虫的Python编程课程
只会语法写不出代码?手把手带你写100个编程真题的编程百练课程
信息学奥赛或C++选手的 必学C++课程
蓝桥杯ACM、信息学奥赛的必学课程:算法竞赛课入门课程
手把手讲解近五年真题的蓝桥杯辅导课程