1. 矩阵概念
在数学中,矩阵(Matrix)是一个按照长方阵列排列的复数或实数集合,最早来自于方程组的系数及常数所构成的方阵。这一概念由19世纪英国数学家凯利首先提出。
矩阵是高等代数学中的常见工具,也常见于统计分析等应用数学学科中。在物理学中,矩阵于电路学、力学、光学和量子物理中都有应用;计算机科学中,三维动画制作也需要用到矩阵,尤其是计算机的图像处理之中,利用矩阵表示图像元素十分常见。 矩阵的运算是数值分析领域的重要问题。将矩阵分解为简单矩阵的组合可以在理论和实际应用上简化矩阵的运算。
由 m × n 个数aij排成的m行n列的数表称为m行n列的矩阵,简称m × n矩阵。记作:

这m×n 个数称为矩阵A的元素,简称为元,数aij位于矩阵A的第i行第j列,称为矩阵A的(i,j)元,以数 aij为(i,j)元的矩阵可记为(aij)或(aij)m × n,m×n矩阵A也记作Amn。
注意:矩阵的概念很多,而且矩阵的运算属于计算机图形学,数学等学科的必备知识,其如果要完全写下来则完全可以写出一本书,本文知识简单介绍,矩阵的基本知识必备要了解加减乘除,其中以乘法在计算机中又使用众多。
2. 矩阵乘法
两个矩阵的乘法仅当第一个矩阵A的列数和另一个矩阵B的行数相等时才能定义。如A是m×n矩阵和B是n×p矩阵,它们的乘积C是一个m×p矩阵 ,它的一个元素:
![]()
并将此乘积记为: C=AB
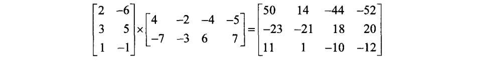
例如:

3.矩阵乘法实现代码
C语言中实现,核心思路在于利用for循环每一位的相乘,矩阵1的行与矩阵2的列相乘,逐步补全整个矩阵。
#include<stdio.h>
#include<stdlib.h>
#include<string.h>
#define M 100
int main(){
int i,j,k;
int matrix1[M][M],matrix2[M][M],row1,col1,row2,col2;
int ans[M][M]; //运算结果,矩阵输出
printf("输入第一个矩阵的行高和列宽:");
scanf("%d%d",&row1,&col1);
printf("输入第一个矩阵:\n");
for(i=0;i<row1;i++){
for(j=0;j<col1;j++){
scanf("%d",&matrix1[i][j]);
}
}
printf("输入第二个矩阵的行高和列宽:");
scanf("%d%d",&row2,&col2);
printf("输入第二个矩阵:\n");
for(i=0;i<row2;i++){
for(j=0;j<col2;j++){
scanf("%d",&matrix2[i][j]);
}
}
memset(ans,0,sizeof(ans));
printf("运算结果为:\n");
for(i=0;i<row1;i++){
for(j=0;j<col2;j++){
for(k=0;k<col1;k++){
ans[i][j]=ans[i][j]+matrix1[i][k]*matrix2[k][j];
}
}
}
for(i=0;i<row1;i++){
for(j=0;j<col2;j++){
printf("%d ",ans[i][j]);
}
printf("\n");
}
return 0;
}4.推荐习题
| 1024 | [编程入门]矩阵对角线求和 |
| 1472 | 蓝桥杯基础练习VIP-矩阵乘法 |
C语言网提供由在职研发工程师或ACM蓝桥杯竞赛优秀选手录制的视频教程,并配有习题和答疑,点击了解:
一点编程也不会写的:零基础C语言学练课程
解决困扰你多年的C语言疑难杂症特性的C语言进阶课程
从零到写出一个爬虫的Python编程课程
只会语法写不出代码?手把手带你写100个编程真题的编程百练课程
信息学奥赛或C++选手的 必学C++课程
蓝桥杯ACM、信息学奥赛的必学课程:算法竞赛课入门课程
手把手讲解近五年真题的蓝桥杯辅导课程