1. 遍历简介:
树作为非线性数据结构,在我们取出数据时就需要设计遍历,所谓遍历,就是按照一定的规则性,将数据结构中的所有数据全部依次访问,而二叉树本身并不具有天然的全局次序,故为实现遍历,需通过在各节点与其孩子之间约定某种局部次序,间接地定义某种全局次序,这便是我们常规定的先序,中序,后续遍历。
在开始前,请记住下面的这三句话:
先序遍历:根左右
中序遍历:左根右
后序遍历:左右根
2. 先序遍历:
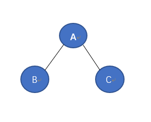
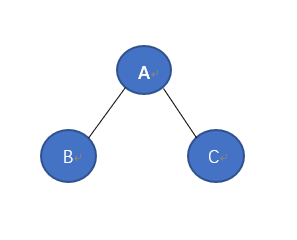
先序遍历就是在访问二叉树的结点的时候采用,先根,再左,再右的方式,对于一个最简单的访问而言如图,先序遍历的访问顺序就是A,B,C

然而实际上的遍历访问并没有那么简单,往往是多个结点相互嵌套构成的二叉树,
如图所示,在访问遍历一开始的时候,先访问根结点A,次访问左节点B,由于左结点中嵌套了一组结点,因此左节点又作为下一个结点的根结点,因此就继续沿着B访问到了D,同样由于D中包含了一组新的结点,D又作为根节点继续访问,就又访问到了E,由于E没有后面的结点了,作为D为根的左结点E访问结束后,访问到F,这一组访问结束之后再回退访问G……
由此如下的访问规律:这一个二叉树的先序遍历访问顺序就是:ABDEFGCH

3. 代码实现
续上文的代码,实现先序遍历思路非常简单,只需要巧妙的利用“递归”即可。
//树的先序遍历 Preorder traversal
void preorder(Node* node){
if (node != NULL)
{
printf("%d ",node->data);
inorder(node->left);
inorder(node->right);
}
}4. 扩展:前缀表达式(波兰式)
波兰式又称为前缀表达式,我们日常的运算表达式通常是如下形式,这种成为中缀表达式,也就是运算符在运算数的中间。这种表达式人类人容易识别,并根据其进行计算,但计算机识别这种表达式非常困难。
如图,为常规表达式:(a+b)*c
其二叉树的表现形式为:
而波兰式的表达方式就是 *+cab ,波兰式的一个特征就是符号迁移,常规的表达式是需要大量的括号表达先后顺序的,而这样的波兰式表达形式不需要,更容易让计算机处理,我们常规的表达式的计算是中序的,而计算机更方便对波兰式这样的方式进行理解,进行这样的转换首先思路要进行转换,在代码中我们实现这样的转换一般可以利用栈,熟练书些这样的转换就需要STL的掌握,这点作为扩展内容自行学习。
5. 相关习题
l 二叉树的遍历习题:https://www.dotcpp.com/oj/problem1734.html

请回答
l 这一颗树的先序遍历是多少?
C语言网提供由在职研发工程师或ACM蓝桥杯竞赛优秀选手录制的视频教程,并配有习题和答疑,点击了解:
一点编程也不会写的:零基础C语言学练课程
解决困扰你多年的C语言疑难杂症特性的C语言进阶课程
从零到写出一个爬虫的Python编程课程
只会语法写不出代码?手把手带你写100个编程真题的编程百练课程
信息学奥赛或C++选手的 必学C++课程
蓝桥杯ACM、信息学奥赛的必学课程:算法竞赛课入门课程
手把手讲解近五年真题的蓝桥杯辅导课程