在学习控制结构之前我们通过一个故事来简单的描述一下控制结构,先看一下这幅图。

小明每天放学回家必须要经过道路1,道路1上有十条马路,小明需要先顺序的走到分叉口,在面对道路2和道路3的时候他需要作出选择,当他选择道路3的时候是无法回到家的,当他选择道路2之后会走到操场,小明的爸爸规定小明在回家之前要围着操场跑3圈,因此当他围着操场循环跑了3圈之后,满足了要求才可以回到家中。
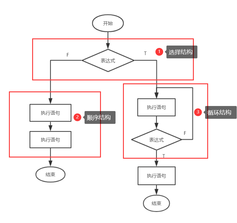
我们在编写程序解决问题的时候也通常会使用这三种结构,它们分别是顺序结构、选择结果、循环结构。
下面我们来通过执行流程图来认识一下这三种结构。

顺序结构就是顺序的依次向着一个方向一致执行,选择结构是在分叉路口的时候根据情况进行选择,而循环结构是指不满足条件就循环去执行,直到满足条件为止。
对于这三种结构拿比喻句来形容一下:
1. 顺序结构就像火车前行一样,不到分叉路口是不进行拐弯,一直前行。
2. 选择结构就可就像我们去买东西的时候,如果我们的钱足够多可以买贵的,钱不足就只能购买中等的或者便宜的。
3. 循环结构就像上学一样,不到休息日就需要每天都按时去上课,直到休息日才可以不去上课。
4. 当然还存在嵌套结构,就像我们去买东西的时候,即使钱足够多也可以去再加一些限制,例如品牌,机型大小等。
5. 对于上学来说也可以在其中嵌套选择结构,当生病的时候可以请假休息不去上课。
因此程序结构可以通过三种基础结构而嵌套解决很多问题。
1. 顺序结构
顺序结构是三者里比较容易理解的,它按照编写完毕的语句的顺序依次执行。
一般来说就是我们所能看到的从上到下依次执行。
举个例子:
print(' ','登高',' ','李白')
print('风急天高猿啸哀,渚清沙白鸟飞回。')
print('无边落木萧萧下,不尽长江滚滚来。')
print('万里悲秋常作客,百年多病独登台。')
print('艰难苦恨繁霜鬓,潦倒新停浊酒杯。')输出结果为:
登高 李白 风急天高猿啸哀,渚清沙白鸟飞回。 无边落木萧萧下,不尽长江滚滚来。 万里悲秋常作客,百年多病独登台。 艰难苦恨繁霜鬓,潦倒新停浊酒杯。
2. 总结
本小节主要介绍了控制结构的三个类型,大家之后在写程序的时候离不开这三种类型,要在理解三种基础类型的同时去思考嵌套类型的原理,在生活中的各种问题都可以用编程思想去思考一下。最后简单的介绍了一下顺序结构,在语句未遇到循环或选择的时候都是以顺序的方式向下运行,下一节我们就来介绍一下选择语句。
C语言网提供由在职研发工程师或ACM蓝桥杯竞赛优秀选手录制的视频教程,并配有习题和答疑,点击了解:
一点编程也不会写的:零基础C语言学练课程
解决困扰你多年的C语言疑难杂症特性的C语言进阶课程
从零到写出一个爬虫的Python编程课程
只会语法写不出代码?手把手带你写100个编程真题的编程百练课程
信息学奥赛或C++选手的 必学C++课程
蓝桥杯ACM、信息学奥赛的必学课程:算法竞赛课入门课程
手把手讲解近五年真题的蓝桥杯辅导课程