说到分数规划,其实这只是一个用来转换问题模型的一个套路,并没有固定的模板什么的,下面我们看看分数规划的形式和特性。
分数规划(fractional programming) 的一般形式:
对于解空间 S 、连续的实值函数 a(x),b(x) ,满足 ∀x∈S , b(x)>0,求

解决分数规划问题的一般方法是分析其对偶问题,但更加实用的方法是对其进行 参数搜索(parametric search),即对答案进行猜测,再验证该猜测值的最优性,将优化问题转化为判定性问题或其他的优化问题。由于分数规划模型的特殊性,使得能够构造另外一个由猜测值 λ \lambdaλ 作为自变量的相关问题,且该问题的解满足一定的单调性,或其他的可以减小参数搜索范围的性质①,从而逼近答案。
① 比如 Dinkelbach算法,每次直接把上次子问题的解向量代入原问题的表达式,算出下一个迭代式的猜测值。
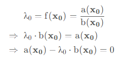
假设
是最优解,根据定义有

由上面的形式构造一个新函数
![]()
这个新函数是一个非分式的规划。先来挖掘函数 g(λ) 本身的性质。
(1)单调性
g(λ) 是一个严格递减函数,即
,
只需要注意到,在
中原有的 x 代入
会得到更小的结果即可。
(2)Dinkelbach定理
若
为原问题的答案,则![]()
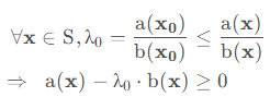
1. 必要性
先证明![]()
设
,根据定义有

而
恰好取到这个下界 0 ,所以最小值就是 0 ,证毕。
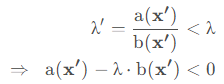
2. 充分性
再证明![]()
反证法。反设存在一个解 λ′= f(x′) 是更优的解,根据定义有

那么,将 x′代入,可以发现 g(λ) 一定是小于零的,与题设矛盾。
(3)二分查找
仍然设
为答案,则

此时便可以进行二分查找了。
C语言网提供由在职研发工程师或ACM蓝桥杯竞赛优秀选手录制的视频教程,并配有习题和答疑,点击了解:
一点编程也不会写的:零基础C语言学练课程
解决困扰你多年的C语言疑难杂症特性的C语言进阶课程
从零到写出一个爬虫的Python编程课程
只会语法写不出代码?手把手带你写100个编程真题的编程百练课程
信息学奥赛或C++选手的 必学C++课程
蓝桥杯ACM、信息学奥赛的必学课程:算法竞赛课入门课程
手把手讲解近五年真题的蓝桥杯辅导课程