先说说什么是悬线?就是一条竖线,这条竖线有初始位置和高度两个性质,可以在其上端点不超过当前位置的矩形高度的情况下左右移动。
一、概述
悬线法的适用范围是单调栈的子集。具体来说,悬线法可以应用于满足以下条件的题目:
(1)需要在扫描序列时维护单调的信息;
(2)可以使用单调栈解决;
(3)不需要在单调栈上二分。
看起来悬线法可以被替代,用处不大,但是悬线法概念比单调栈简单,更适合初学 OI 的选手理解并解决最大子矩阵等问题。
二、实例讲解
悬线法是一种比较简单的DP技巧,主要用于在
的时间内解决最大矩形/最大正方形问题,即,给出一个
的方格矩阵,其中某些方格是不可选的,求可选的最大矩形/正方形。

其实这个问题用单调栈也是可以
解决的,但悬线法是一种思路更简单的方法。我们定义“悬线”是从某一格出发,一直向上能延申的最长竖线(如下图)。

我们定义极大矩形是无法再向上、下、左或右拓展的矩形,很明显,每一个最大矩形,都一定是一个极大矩形(否则拓展后的矩形比它更大,它就不是最大的了)。
一个重要的事实是:每个极大矩形都一定可以由某条悬线“拓展”(即把悬线尽可能地往左、往右平移)得到。实际上,在矩形上边界上找到一个不能再向上的方格(作为极大矩形,一定存在这样的方格),把它跟矩形下边界的对应格连线,即可得到这样的悬线。

由于一个可选的格子对应一条悬线,所以悬线最多只有
条。因此,我们只需要枚举最多
条悬线就可以枚举所有的极大矩形,最大矩形一定就在其中。
接下来是十分简单的DP环节。定义
分别表示从某格出发向上、左、右最多能走多少格(包括自身),则:

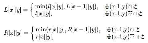
然后我们定义 L、R 分别表示从当前格向上的悬线最多能向左、向右拓展多少格,则:

实际上我们发现
分别可以用同一个数组来存,可以节省很多空间。对于每一格来说,它对应的悬线左右拓展能得到的最大的矩形面积为:
![]()
代码如下:
for (int i = 1; i <= n; ++i)
for (int j = 1; j <= m; ++j)
if (A[i][j])
l[i][j] = l[i][j - 1] + 1;for (int i = 1; i <= n; ++i)
for (int j = m; j >= 1; --j)
if (A[i][j])
r[i][j] = r[i][j + 1] + 1;for (int i = 1; i <= n; ++i)
for (int j = 1; j <= m; ++j)
if (A[i][j]) {
u[i][j] = u[i - 1][j] + 1;
if (A[i - 1][j]) cmin(l[i][j], l[i - 1][j]), cmin(r[i][j], r[i - 1][j]);
cmax(ans, (r[i][j] + l[i][j] - 1) * u[i][j]);
}现在我们解决了最大矩形问题,那么最大正方形呢?很简单,因为最大正方形一定是最大矩形的子正方形。所以我们只需枚举所有悬线,计算每条悬线所对应矩形的最大子正方形面积:
![]()
C语言网提供由在职研发工程师或ACM蓝桥杯竞赛优秀选手录制的视频教程,并配有习题和答疑,点击了解:
一点编程也不会写的:零基础C语言学练课程
解决困扰你多年的C语言疑难杂症特性的C语言进阶课程
从零到写出一个爬虫的Python编程课程
只会语法写不出代码?手把手带你写100个编程真题的编程百练课程
信息学奥赛或C++选手的 必学C++课程
蓝桥杯ACM、信息学奥赛的必学课程:算法竞赛课入门课程
手把手讲解近五年真题的蓝桥杯辅导课程