拆点是一种图论建模思想,常用于网络流,用来处理点权或者点的流量限制的问题,也常用于分层图。
一、什么是拆点?
什么是拆点?拆点就是将一个点拆成入点和出点两个点,并在两个点之间建一条边。
为什么要拆点?拆点是为了实现对点的限制。
什么时候需要拆点?当题目中明确说明对点有限制或在实际应用中对点有限制时,我们就需要拆点。例如我们要保证经过某点中转的流量不能大于5(对点有流量限制),那么我们就需要将该点拆成入点和出点,并在两点间建一条容量为5的边,就实现了对点的限制。
做题时一定要看清,如果是对边有限制,就通过流量或流网络来实现;如果是对点有限制,就通过拆点来实现。
二、结点有流量限制的最大流
如果把结点转化成边,那么这个问题就可以套板子解决了。
我们考虑把有流量限制的结点转化成这样一种形式:由两个结点 u,v 和一条边 <u,v> 组成的部分。其中,结点 u 承接所有从原图上其他点的出发到原图上该点的边,结点 v 引出所有从原图上该点出发到达原图上其他点的边。边 <u,v> 的流量限制为原图该点的流量限制,再套板子就可以解决本题。这就是拆点的基本思想。
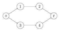
如果原图是这样:

拆点之后的图是这个样子:

三、分层图最短路
分层图最短路,如:有 k 次零代价通过一条路径,求总的最小花费。对于这种题目,我们可以采用 DP 相关的思想,设
表示当前从起点 i 号结点,使用了 j 次免费通行权限后的最短路径。显然,dis数组可以这么转移:
![]()
其中,from表示 i 的父亲节点,w 表示当前所走的边的边权。当 j-1≥k 时,
。
事实上,这个 DP 就相当于把每个结点拆分成了 k+1 个结点,每个新结点代表使用不同多次免费通行后到达的原图结点。换句话说,就是每个结点 ui 表示使用 i 次免费通行权限后到达 u 结点。
C语言网提供由在职研发工程师或ACM蓝桥杯竞赛优秀选手录制的视频教程,并配有习题和答疑,点击了解:
一点编程也不会写的:零基础C语言学练课程
解决困扰你多年的C语言疑难杂症特性的C语言进阶课程
从零到写出一个爬虫的Python编程课程
只会语法写不出代码?手把手带你写100个编程真题的编程百练课程
信息学奥赛或C++选手的 必学C++课程
蓝桥杯ACM、信息学奥赛的必学课程:算法竞赛课入门课程
手把手讲解近五年真题的蓝桥杯辅导课程