拓扑排序主要解决的问题是给一个图的所有节点排序。
一、什么是拓扑排序
在图论中,拓扑排序(Topological Sorting)是一个有向无环图(DAG, Directed Acyclic Graph)的所有顶点的线性序列。且该序列必须满足下面两个条件:
(1)每个顶点出现且只出现一次。
(2)若存在一条从顶点 A 到顶点 B 的路径,那么在序列中顶点 A 出现在顶点 B 的前面。
有向无环图(DAG)才有拓扑排序,非DAG图没有拓扑排序一说。
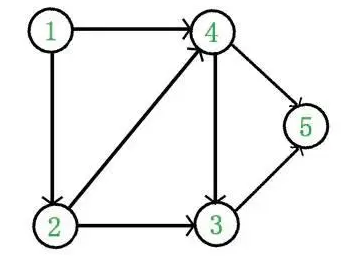
例如,下面这个图:

它是一个 DAG 图,那么如何写出它的拓扑排序呢?这里说一种比较常用的方法:
从 DAG 图中选择一个 没有前驱(即入度为0)的顶点并输出。
从图中删除该顶点和所有以它为起点的有向边。
重复 1 和 2 直到当前的 DAG 图为空或当前图中不存在无前驱的顶点为止。后一种情况说明有向图中必然存在环。

于是,得到拓扑排序后的结果是 { 1, 2, 4, 3, 5 }。
通常,一个有向无环图可以有一个或多个拓扑排序序列。
二、现实案例
看了上面关于拓扑排序的概念如果还觉得十分抽象的话,那么不妨考虑一个非常非常经典的例子 —— 选课。
假设我非常想学习一门《jsp 入门》的课程,但是在修这么课程之前,我们必须要学习一些基础课程,比如《JAVA 语言程序设计》,《HTML 指南》等等。那么这个制定选修课程顺序的过程,实际上就是一个拓扑排序的过程,每门课程相当于有向图中的一个顶点,而连接顶点之间的有向边就是课程学习的先后关系。
只不过这个过程不是那么复杂,从而很自然的在我们的大脑中完成了。将这个过程以算法的形式描述出来的结果,就是拓扑排序。
可以看到,上图中的学习顺序,就是拓扑序列,其不止一个结果。
拓扑排序算法在工程学中十分重要。
节点成环的图,无法被拓扑排序,因为这在工程上本身没有意义,比如 A——>B——>C——>A,那么这个工程永远无法被开始。
三、算法实现
拓扑排序的最优时间复杂度是 O (m+n), 其中 m 和 n 是 DAG 图中节点数和边数。因为拓扑排序至少要对 DAG 图的节点和边进行一次完整的遍历。
拓扑排序的最优空间复杂度是 O (m+n), 其中 m 和 n 是 DAG 图中节点数和边数。我们一般使用邻接表来存储 DAG 图,因此空间复杂度是 O (m+n)。
C语言网提供由在职研发工程师或ACM蓝桥杯竞赛优秀选手录制的视频教程,并配有习题和答疑,点击了解:
一点编程也不会写的:零基础C语言学练课程
解决困扰你多年的C语言疑难杂症特性的C语言进阶课程
从零到写出一个爬虫的Python编程课程
只会语法写不出代码?手把手带你写100个编程真题的编程百练课程
信息学奥赛或C++选手的 必学C++课程
蓝桥杯ACM、信息学奥赛的必学课程:算法竞赛课入门课程
手把手讲解近五年真题的蓝桥杯辅导课程