树哈希,顾名思义,对树进行哈希,经常判断两个树是否同构。一下均为对有根树的算法,而无根树只需要找重心。
我们有时需要判断一些树是否同构。这时,选择恰当的哈希方式来将树映射成一个便于储存的哈希值(一般是 32 位或 64 位整数)是一个优秀的方案。
树哈希有很多种哈希方式,下面将选出几种较为常用的方式来加以介绍。
方法一
公式
![]()
注意:
其中
为以节点 x 为根的子树对应的哈希值。特殊地,我们令叶子节点的哈希值为 1。
表示以节点 x 为根的子树大小。
表示 x 所有子节点以 f 作为关键字排序后排名第 i 的儿子。
为选定的一个合适的种子(最好是质数,对字符串 hash 有了解的人一定不陌生)
上述哈希过程中,可以适当取模避免溢出或加快运行速度。
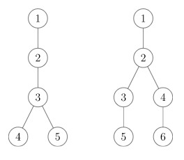
Hack

上图中,可以计算出两棵树的哈希值均为
。
方法二
公式
![]()
注意:
其中
为以节点 x 为根的子树对应的哈希值。特殊地,我们令叶子节点的哈希值为 1。
表示以节点 x 为根的子树大小。
表示 x 所有子节点之一(不用排序)。
为选定的一个合适的质数。
表示异或和。
Hack
由于异或的性质,如果一个节点下有多棵本质相同的子树,这种哈希值将无法分辨该种子树出现1,3,5,…次的情况。
方法三
公式
![]()
注意:
其中
为以节点 x 为根的子树对应的哈希值。
表示以节点 x 为根的子树大小。
表示 x 所有子节点之一(不用排序)。
表示第 i 个质数。
事实上,树哈希是可以很灵活的,可以有各种各样奇怪的姿势来进行 hash,只需保证充分性与必要性,选手完全可以设计出与上述方式不同的 hash 方式。
C语言网提供由在职研发工程师或ACM蓝桥杯竞赛优秀选手录制的视频教程,并配有习题和答疑,点击了解:
一点编程也不会写的:零基础C语言学练课程
解决困扰你多年的C语言疑难杂症特性的C语言进阶课程
从零到写出一个爬虫的Python编程课程
只会语法写不出代码?手把手带你写100个编程真题的编程百练课程
信息学奥赛或C++选手的 必学C++课程
蓝桥杯ACM、信息学奥赛的必学课程:算法竞赛课入门课程
手把手讲解近五年真题的蓝桥杯辅导课程