Kirchhoff矩阵树定理可以简称矩阵树定理,可以解决了一张图的生成树个数计数问题。
本篇中的图,无论无向还是有向,都允许重边,但是不允许自环。
一、概况
1. 无向图情况
设G是一个有 n 个顶点的无向图。定义度数矩阵 D(G) 为:

设
为点 i 与点 j 相连的边数,并定义邻接矩阵A为:
![]()
定义 Laplace 矩阵(亦称 Kirchhoff 矩阵)L为:
![]()
记图G的所有生成树个数为t(G)。
2. 有向图情况
设G是一个有 n 个顶点的有向图。定义出度矩阵
为:
![]()
类似地定义入度矩阵![]()
设
为点 i 指向点 j 的有向边数,并定义邻接矩阵A为:
![]()
定义出度 Laplace 矩阵
为:
![]()
定义入度 Laplace 矩阵
为:
![]()
记图G的以 r 为根的所有根向树形图个数为
。所谓根向树形图,是说这张图的基图是一棵树,所有的边全部指向父亲。
记图G的以 r 为根的所有叶向树形图个数为
。所谓叶向树形图,是说这张图的基图是一棵树,所有的边全部指向儿子。
二、定理叙述
矩阵树定理具有多种形式。其中用得较多的是定理 1、定理 3 与定理 4。
定理 1(矩阵树定理,无向图行列式形式) 对于任意的 i,都有

其中记号
表示矩阵L(G)的第
行与第
列构成的子矩阵。也就是说,无向图的 Laplace 矩阵具有这样的性质,它的所有 n-1 阶主子式都相等。
定理 2(矩阵树定理,无向图特征值形式) 设
为L(G)的 n-1 个非零特征值,那么有
![]()
定理 3(矩阵树定理,有向图根向形式) 对于任意的 k,都有

因此如果要统计一张图所有的根向树形图,只要枚举所有的根 k 并对
求和即可。
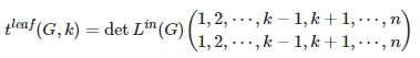
定理 4(矩阵树定理,有向图叶向形式) 对于任意的 k,都有

因此如果要统计一张图所有的叶向树形图,只要枚举所有的根 k 并对
求和即可。
BEST 定理
定理 5 (BEST 定理) 设G是有向欧拉图,那么G的不同欧拉回路总数ec(G)是
![]()
注意,对欧拉图G的任意两个节点
,都有
,且欧拉图G的所有节点的入度和出度相等。
C语言网提供由在职研发工程师或ACM蓝桥杯竞赛优秀选手录制的视频教程,并配有习题和答疑,点击了解:
一点编程也不会写的:零基础C语言学练课程
解决困扰你多年的C语言疑难杂症特性的C语言进阶课程
从零到写出一个爬虫的Python编程课程
只会语法写不出代码?手把手带你写100个编程真题的编程百练课程
信息学奥赛或C++选手的 必学C++课程
蓝桥杯ACM、信息学奥赛的必学课程:算法竞赛课入门课程
手把手讲解近五年真题的蓝桥杯辅导课程