一、简介
手指树(Finger Tree)是一种纯函数式数据结构,由 Ralf Hinze 和 Ross Paterson 提出。
二、为什么需要手指树?
在函数式编程中,列表是十分常见的数据类型。对于基于序列的操作,包括在两端添加和删除元素(双端队列操作),在任意节点插入、连接、删除,查找某个满足要求的元素,将序列拆分为子序列,几乎所有的函数型语言都支持。但是对于高效的更多操作,这些语言很难做到。即使有相对应的实现,通常也都非常复杂,实际很难使用。
而指状树提供了一种纯函数式的序列数据结构,它可以在均摊常量时间(amortized constant time)内完成访问,添加到序列的前端和末尾等操作,以及在对数时间(logarithmic time)内完成串联和随机访问。除了良好的渐近运行时边界外,手指树还非常灵活:当与元素上的幺半群标记(monoidal tag)结合时,指状树可用于实现高效的随机访问序列、有序序列、间隔树和优先级队列。
三、基本结构
手指树在树的“手指”(叶子)的地方存储数据,访问时间为分摊常量。手指是一个可以访问部分数据结构的点。在命令式语言(imperative language)中,这被称做指针。在手指树中,“手指”是指向序列末端或叶节点的结构。手指树还在每个内部节点中存储对其后代应用一些关联操作的结果。存储在内部节点中的数据可用于提供除树类数据结构之外的功能。
1. 手指树的深度由下到上计算。
2. 手指树的第一级,即树的叶节点,仅包含值,深度为 。第二级为深度 。第三级为深度 ,依此类推。
3. 离根越近,节点指向的原始树(在它是手指树之前的树)的子树越深。这样,沿着树向下工作就是从叶子到树的根,这与典型的树数据结构相反。为了获得这种的结构,我们必须确保原始树具有统一的深度。在声明节点对象时,必须通过子节点的类型进行参数化。深度为 及以上的脊椎上的节点指向树,通过这种参数化,它们可以由嵌套节点表示。
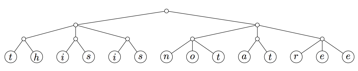
将一棵树变成手指树
注释:2-3树是一种树状数据结构,其中每个带有子节点(内部节点)的节点具有两个子节点( 节点)和一个数据元素或三个子节点( 节点)和两个数据元素。2-3树是3阶B树。树外部的节点(叶节点)没有子节点和一两个数据元素。
我们将从平衡 2-3 树开始这个过程。为了使手指树正常工作,所有的叶节点需要是水平的。如下图所示:

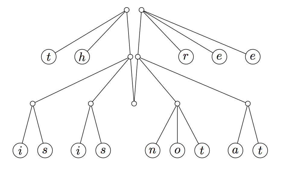
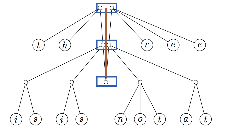
手指是“一种结构,可以有效地访问靠近特定位置的树的节点。”要制作手指树,我们需要将手指放在树的左右两端,取树的最左边和最右边的内部节点并将它们拉起来,使树的其余部分悬在它们之间,这为我们提供了对序列末尾的均摊常量访问时间。

这种新的数据结构被称为手指树。手指树由沿其树脊(棕色线)分布的几层(下方蓝色框)组成:

data FingerTree a = Empty | Single a | Deep (Digit a) (FingerTree (Node a)) (Digit a) data Digit a = One a | Two a a | Three a a a | Four a a a a data Node a = Node2 a a | Node3 a a a
示例中的数字是带有字母的节点。每个列表由树脊上每个节点的前缀或后缀划分。在转换后的2-3树中,顶层的数字列表似乎可以有两个或三个长度,而较低级别的长度只有一或两个。为了使手指树的某些应用程序能够如此高效地运行,手指树允许在每个级别上有1到4个子树。手指树的数字可以转换成一个列表,如:
type Digit a = One a | Two a a | Three a a a | Four a a a a
顶层具有类型 a 的元素,下一层具有类型节点 a 的元素,因为树脊和叶子之间的节点,这通常意味着树的第 n 层具有元素类型为
,或 2-3 个深度为 n 的树。这意味着 n 个元素的序列由深度为 Θ(log n) 的树表示。距离最近端 d 的元素存储在树中 Θ(log d) 深度处。
双向队列操作
指状树也可以制作高效的双向队列。无论结构是否持久,所有操作都需要 Θ(1) 时间。它可以被看作是的隐式双端队列的扩展:
(1)用 2-3 个节点替换对提供了足够的灵活性来支持有效的串联。(为了保持恒定时间的双端队列操作,必须将 Digit 扩展为四。)
(2)用幺半群(monoid)注释内部节点允许有效的分裂。
data ImplicitDeque a = Empty | Single a | Deep (Digit a) (ImplicitDeque (a, a)) (Digit a) data Digit a = One a | Two a a | Three a a a
四、时间复杂度
手指树提供了对树的“手指”(叶子)的分摊常量时间访问,这是存储数据的地方,以及在较小部分的大小中连接和拆分对数时间。它还在每个内部节点中存储对其后代应用一些关联操作的结果。存储在内部节点中的“摘要”数据可用于提供除树之外的数据结构的功能。
| 操作 | 手指树 | 注释 2-3 树 (annotated 2-3 tree) | 列表(list) | 向量(vector |
| const,snoc | O(1) | O(logn) | O(1)/O(n) | O(n) |
| viewl,viewr | O(1) | O(logn) | O(1)/O(n) | O(1) |
| measure/length | O(1) | O(1) | O(n) | O(1) |
| append | O(log min(l1, l2)) | O(logn) | O(n) | O(m+n) |
| split | O(log min(n, l-n)) | O(logn) | O(n) | O(1) |
| replicate | O(log n) | O(logn) | O(n) | O(n) |
| fromList,toList,reverse | O(l)/O(l)/O(l) | O(l) | O(1)/O(1)/O(n) | O(n) |
| index | O(log min(n, l-n)) | O(logn) | O(n) | O(1) |
五、应用
指状树可用于建造其他树。例如,优先级队列可以通过树中子节点的最小优先级标记内部节点来实现,或者索引列表/数组可以通过节点的子节点中叶子的计数来标记节点来实现。其他应用包括随机访问序列(如下所述)、有序序列和区间树。
手指树可以提供平均O(1)的推、反转、弹出, O(logn)追加和拆分;并且可以适应索引或排序序列。和所有函数式数据结构一样,它本质上是持久的;也就是说,始终保留旧版本的树。
对于代码实现,Haskell核心库中的有限序列 Seq 的实现使用了2-3手指树(Data.Sequence),OCaml 中 BatFingerTree 模块的实现 也使用了通用手指树数据结构。手指树可以使用或不使用惰性求值来实现,但惰性允许更简单的实现。
C语言网提供由在职研发工程师或ACM蓝桥杯竞赛优秀选手录制的视频教程,并配有习题和答疑,点击了解:
一点编程也不会写的:零基础C语言学练课程
解决困扰你多年的C语言疑难杂症特性的C语言进阶课程
从零到写出一个爬虫的Python编程课程
只会语法写不出代码?手把手带你写100个编程真题的编程百练课程
信息学奥赛或C++选手的 必学C++课程
蓝桥杯ACM、信息学奥赛的必学课程:算法竞赛课入门课程
手把手讲解近五年真题的蓝桥杯辅导课程