本篇内容是围绕着三维计算几何展开,三维几何的很多概念和知识与二维几何是想通的,所以在我们做三维几何问题的时候,可以采用解决二维几何问题相同的方法来解决。
其中点,向量,直线等概念和二维几何相似,就不再重复介绍了。
平面
我们可以用平面上的一点
和该平面的法向量(即垂直于该平面的向量)n来表示一个平面。
因为n垂直于平面,所以n垂直于该平面内的所有直线。换句话说,设
,则该平面上的点
都满足
。
根据向量点积的定义,上式等价于:
![]()
整理后得到:
![]()
令
,则上式变成
。我们称这个式子为平面的一般式。
基本操作
直线、平面之间的夹角
运用空间向量的知识,空间中直线、平面之间的夹角可以很快求出。
对于两条异面直线 a,b,过空间中一点P,作
,则
与
所成的锐角或直角被称为a和b两条异面直线所成的角。
对于直线a和平面α,若a与α相交于A,过a上一点P引平面α的垂线交α于O,则a与PO所成的角被称为直线与平面所成的角。特别地,若 a || α 或
,则它们之间的夹角为0°。
对于两个平面α,β,它们的夹角被定义为与两条平面的交线 l 垂直的两条直线a,b(其中
)所成的角。
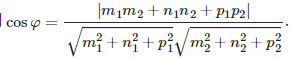
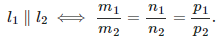
两直线夹角定义与关系充要条件
(1)两直线的方向向量的夹角,叫做两直线的夹角。
有了这个命题,我们就可以得出以下结论:已知两条直线
,它们的方向向量分别是
,
,设
为两直线夹角,我们可以得到

(2)![]()
(3)![]()
三维向量与平面的夹角
当直线与平面不垂直时,直线和它在平面上的投影直线的夹角
称为直线与平面的夹角。
设直线向量
,平面法线向量
,那么以下命题成立:
(1)角度的正弦值:
直线 与平面平行
![]()
直线与平面垂直 ![]()
![]()
点到平面的距离
直线与平面的交点
直接联立直线方程和平面方程即可。
立体几何定理
三正弦定理
设二面角M-AB-N的度数为α,在平面M上有一条射线AC,它和棱AB所成角为β,和平面N所成的角为γ,则sinγ=sinα·sinβ 。
三余弦定理
设O为平面上一点,过平面外一点B的直线BO在面上的射影为AO,OC为面上的一条直线,那么
三角的余弦关系为:
只能是锐角)。
C语言网提供由在职研发工程师或ACM蓝桥杯竞赛优秀选手录制的视频教程,并配有习题和答疑,点击了解:
一点编程也不会写的:零基础C语言学练课程
解决困扰你多年的C语言疑难杂症特性的C语言进阶课程
从零到写出一个爬虫的Python编程课程
只会语法写不出代码?手把手带你写100个编程真题的编程百练课程
信息学奥赛或C++选手的 必学C++课程
蓝桥杯ACM、信息学奥赛的必学课程:算法竞赛课入门课程
手把手讲解近五年真题的蓝桥杯辅导课程