舞蹈链(Dancing links)实际上是一种数据结构,可以用来实现 X算法,以解决精确覆盖问题。
什么是精确覆盖(Exact Cover)问题呢?维基百科上对精确覆盖的定义如下:在一个全集X中若干子集的集合为S。S* 是 S的一个子集,当且仅当X中的每一个元素在S*中恰好出现一次时,S*称之为一个精确覆盖。在计算机科学中,精确覆盖问题指找出这样的一种覆盖,或证明其不存在。这是一个NP-完全问题。
例如,S = {A,B,C,D,E,F} 是全集 X = {1,2,3,4,5,6,7} 的一个子集的集合,其中:
A = {1, 4, 7}
B = {1, 4}
C = {4, 5, 7}
D = {3, 5, 6}
E = {2, 3, 6, 7}
F = {2, 7}
那么,S的一个子集 S* = {B, D, F} 是X的一个精确覆盖,因为 X 中的每个元素恰好在S*中出现了一次。
可以用0-1矩阵来表示精确覆盖问题。我们用矩阵的每行表示S的一个元素,也就是X的一个子集;用矩阵的每列表示X的一个元素。矩阵中的1代表这一列的元素存在于这一行对应的子集中,0代表不存在。那么精确覆盖问题可以转化成求出矩阵若干行的集合,使得集合中的每一列恰好都有一个1。
比如前面的问题可以用矩阵的形式表示成

那么选择红色的B,D,F能满足每列都恰好包含一个1。
可以用 Knuth 提出的X算法来解决精确覆盖问题。X算法是一个非确定性的深度优先回溯算法。它的具体步骤如下:
1. 如果矩阵
为空(没有任何列),则当前局部解即为问题的一个解,返回成功;否则继续。
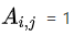
2. 根据一定方法选择第 c 列。如果某一列中没有 1,则返回失败,并去除当前局部解中最新加入的行。
选择第 r 行,使得
(该步是非确定性的)。
将第 r 行加入当前局部解中。
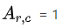
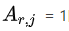
对于满足
的每一列j,从矩阵
中删除所有满足
的行,最后再删除第 j 列。
对所得比 A 小的新矩阵递归地执行此算法。
让我们用 X算法解决上面的精确覆盖问题。
首先,当前矩阵不为空,算法继续进行。那么先选择1最少的一列。因为 1,2,3,5,6 列都只有 2 个 1,因此我们随便选择 1 个,比如第 1 列。

行 A 和 B 都含有 1,因此要在这两行中进行选择。
先尝试选择行 A。将行A加入到当前的解中。

行A的 1,4,7 列为 1,根据第 5 步,需要把所有在 1,4,7 列中含有 1 的行都删除掉,因此需要删除掉行A,B,C,E,F,同时删除掉第 1,4,7 列

删除之后,矩阵只剩下行 D 和第 2,3,5,6 列:

进入递归,回到第 1 步,矩阵非空,算法继续执行。
再进入第2步,此时选择 1 最少的第 2 列,里面没有 1,因此返回失败,同时将行 A 从当前的解中移除;
算法进入另一个分支,选择行 B,并将其加入到当前的解中:

行 B 的第 1,4 列为 1,因此要把 1,4 列中包含 1 的行都删掉。需要删除掉行 A,B,C,再删除掉 1,4 列。

此时矩阵变为

进入递归,回到第 1 步,矩阵非空,因此算法继续。
当前包含 1 最少的一列是第 5 列,那么将从第 5 列中选择含有 1 的行进行搜索。

第 5 列中行 D 含有 1,因此选择行 D,将其加入当前解中,算法进入新的一层搜索。

行 D 的第 3,5,6 列包含 1,我们要删掉这几列中包含 1 的所有行,同时删掉这几列

那么我们需要删掉行 D,E 和第 3,5,6 列,矩阵变为

再次递归执行,回到第 1 步,矩阵非空,因此算法继续
选择当前包含 1 最少的一列,这里选择第 2 列。第 2 列中只有行 F 包含 1, 因此选择行 F
将行 F 加入到当前解中,算法进入第 3 层搜索

行 F 中第 2,7列为 1,第 2,7 列中行 F 包含 1,因此移除行 F 和第 2,7 列

算法再次进入递归执行,回到第 1 步,此时所有的列都被移除了,矩阵为空,因此返回成功,找到了一个解:{B, D, F}
继续搜索,没有其他可以选择的行,返回上一层;
第2层也没有其他可以选择的行,再返回上一层;
第1层也没有其他可以选择的行,再返回上一层;
第0层也没有其他可以选择的行,算法终止。
以上就是 X 算法的执行过程。Knuth 提出 X 算法主要是为了说明舞蹈链的作用,他发现用舞蹈链来执行 X 算法效率特别高。那么什么是舞蹈链呢?它是基于双向链表的一种数据结构。
让我们先来看看双向链表:

上图是一个简单的双向链表,每个节点有两个指针,分别指向自己的前驱和后继节点。那么如果我们想把其中一个节点,比如 B 从链表中删掉,只需要执行下面的操作:
B.left.right = B.right B.right.left = B.left
注意:此时虽然 B 从链表中移除了,但它的两个指针依然保持不变,还是指向之前的前驱和后继节点。

因此,如果我想把 B 再添加到链表原来的位置上,此时并不需要修改 B 的指针,只需要再把 B 的前驱和后继节点的指针恢复就可以了:
B.left.right = B B.right.left = B
理解了这一点之后,让我们再来看看舞蹈链的结构是怎么样的:

上面这个图是一个舞蹈链的结构,描述的是前面 X 算法中用到的矩阵。它由几部分构成:
最上面的蓝色部分是一个水平的环状双向链表。最左边是头节点,它是整个数据结构的根节点。其余是列头节点,每个代表矩阵中的一列。
每一列又是一个纵向的环状双向链表。除了最上面的列头节点,其他的每个节点都代表前面的矩阵中的一个 1。这实际上是一个稀疏矩阵,为了优化存储和效率,只保留了值为 1 的节点,把每个节点按顺序保存到数组中。最早的 Dancing Links 算法,也就是 Knuth 在 2000 年发表的论文中,下面的每一行也都是一个双向链表。但后来他发现每一行在算法执行过程中实际上不会发生变化,因此他把水平的双向链表取消了,只保留了最顶上的列头节点之间的水平双向链表。下面的每一行之间的前后节点可以直接通过数组的索引得到。两边是Space节点,用来标记一行的开始和结束。
每个普通节点 A 都包含 4 个 字段,A.up 和 A.down 代表双向链表的两个指针,分别指向 A 上面和下面的节点。还有一个 A.col ,指向 A 所在列的头节点,需要根据这个字段定位到节点所在的列。另外还有一个 A.row,主要是方便在递归的过程中缓存当前的解。
列头节点还要再多几个字段,left 和 right 分别指向水平双向链表的左节点和右节点。另外还有一个 count 字段,代表这一列当前一共有几个元素。X 算法的第 2 步,选择 1 最少的列时会用到这个字段。
理解了舞蹈链的数据结构之后,我们再来看看是怎样用舞蹈链来实现 X 算法的。这部分算法很精妙,也是舞蹈链这个名字的来由,通过对链表上的节点反复删除和插入实现了递归的回溯,就好像一个个链表在舞台上翩翩起舞一样。
具体的算法实现可以参照 Knuth 的论文,我们还是用图的方式来说明一下。
(1)首先,判断链表是否为空,可以通过 head.right == head 来判断。如果为空则返回,并输出当前的解。
(2)不为空则选择当前节点数最少的列。如果只有列头节点,则返回失败。

遍历这一列的每个节点,开始进行覆盖操作:
(1)首先将节点所在行作为解的一部分,加入到当前解中;

(2)遍历这一行的所有节点,将每个节点所在列都删除掉,同时删除掉与这些列有交集的所有行:
2a. 遍历节点所在列的每个节点,将每个节点所在行的所有节点从它所在的列中移除掉,同时将列头节点的计数减 1:
node.up.down = node.down node.down.up = node.up col_node.count -= 1
2b. 还要将这一列从链表中移除:
col_node.left.right = col_node.right col_node.right.left = col_node.left

进入递归调用,判断链表是否为空;
不为空则选择节点数最少的列,再遍历这一列的节点,进行覆盖操作:
移除掉所有节点之后,进入递归调用,发现链表不为空,但节点数最少的列中没有普通节点了,返回失败;
开始做链表的还原操作。注意还原的顺序需要和移除的顺序相反。如果我们是从上至下,从左至右移除节点,那么还原的时候就从右至左,从下至上。否则的话可能会出现问题,导致一个节点被还原多次,这样列中节点的计数就不准确了。
node.up.down = node node.down.up = node col_node.count += 1
并且把删除的列也取消覆盖
col_node.left.right = col_node col_node.right.left = col_node
递归返回到上一层,还原之后,发现列中没有其他节点可以选择,再返回到上一层,选择下一个节点所在的行。

和之前的方法相同,遍历这一行的所有节点,将每个节点所在列都删除掉,同时删除掉与这些列有交集的所有行:

再选择节点最少的列,遍历这一列的所有节点的所在行:

遍历这一行的所有节点,删除掉每个节点所在列,以及与这些列有交集的所有行:

再次进入递归调用,判断矩阵不为空,选择节点最少的一列,遍历每个节点,删除掉所在行的所有列,与这些列有交集的所有行,最后我们得到一个空矩阵。

此时将得到的解输出,并返回,接下来还要进行还原操作,然后搜索下一个解。
以上就是舞蹈链算法的执行过程。
C语言网提供由在职研发工程师或ACM蓝桥杯竞赛优秀选手录制的视频教程,并配有习题和答疑,点击了解:
一点编程也不会写的:零基础C语言学练课程
解决困扰你多年的C语言疑难杂症特性的C语言进阶课程
从零到写出一个爬虫的Python编程课程
只会语法写不出代码?手把手带你写100个编程真题的编程百练课程
信息学奥赛或C++选手的 必学C++课程
蓝桥杯ACM、信息学奥赛的必学课程:算法竞赛课入门课程
手把手讲解近五年真题的蓝桥杯辅导课程